應力誤差
在計算所有節點的位移後,程式會繼續分別計算每個元素的應變和應力。它會計算每個元素特定點的應力。這些元素內的點可提供精確的結果。它們稱為高斯點或求積點。
在計算高斯點的應力後,程式會外推此結果來計算每個元素的節點應力。
所有元素都應對其共用節點提供相同應力值,以獲得準確解。雖然 FEA 取得的位移場是連續的,但元素的應力場通常不是連續的。不同的元素對於一共用節點提供的應力值通常不同。程式在計算共用節點的節點應力時,會將相關元素提供的加以平均。
而共用節點的應力此種差異可用來衡量根據應變能求解的精確度。軟體會估計誤差分布如下:
假設:
si*= 相關元素的共用節點應力
s = 共用節點的平均應力
各元素的共用節點應力值差異與平均應力值表示如下:

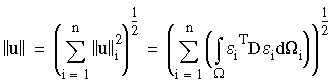
各元素的能量範數誤差計算方式如下:

其中 D 是彈性矩陣,而 Wi 為元素域。整體誤差的估計方式是加總所有元素的誤差:

其中 n 為元素的總數。每個元素的誤差比例計算如下:

其中 ||u|| 為總應變能的兩倍,而總應變能的計算如下:

其中 e 為應變向量。
當您在應力繪圖 PropertyManager 中將結果類型設為元素值並將零組件設為 ERR:應變能,則會繪製 hi 量值的圖。請注意,繪製的誤差是能量範數而非應力的誤差估計值。但是,您可從中看出應力誤差在同質網格中的相對分佈。p-Adaptive 方法會使用此量值來改進能量誤差較高的位置之結果。
若需誤差估計的更多資訊,請參考《International Journal for Numerical Methods in Engineering》,第 24 卷,第 337-357 頁 (1987 年),「A Simple Error Estimator and Adaptive Procedure for Practical Engineering Analysis」一文,作者:O.C. Zienkiewicz 及 J. Z. Zhu。