黏彈性模型
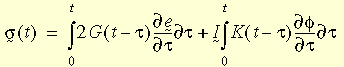
彈性模型基於其黏彈性材料所特有的黏性效應,而能夠耗散力學能。在多軸向應力狀態中,其本構關係式可如下表示:

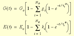
其中 e 和 f 是軸差及體積應變;G(t - t) 和 K(t - t) 是剪力及容積鬆弛函數。鬆弛函數之後可由力學模型(如此圖所示),該模型通常是指具有以下表達式的廣義麥斯威爾模型 (Generalized Maxwell Model):

其中 G0 和 K0 是根據下式得出的初始剪力及容積模數:G0 =E/2(1+v) 和K0 =E/3(1-2v)。
gi、ki、tiG、及 tiK 是 i-th 剪力與容積模數以及對應時間。
材料行為上的溫度效應係透過時間-溫度相依性原則代入。該原則的數學式為:

其中 g t 是減少的時間,而 g 是轉換函數。使用 WLF (Williams-Landel-Ferry) 方程式概算出下列函數:

其中 TO 是參考溫度,通常是採用玻璃轉折溫度;C1 和 C2 是材料相依常數。
必要參數包括:
參數 |
符號 |
描述 |
線性彈性參數 |
EX |
彈性模數 |
NUxy |
Poisson 比 |
GXY(選用項目) |
剪力模數 |
鬆弛函數參數 |
G1、G2、G3、...、G8 |
表示廣義麥斯威爾模型方程式中的 g1、g2、...、g8 |
TAUG1、TAUG2、...、TAUG8 |
表示廣義麥斯威爾模型方程式中的 t1g、t2g、...、t8g |
K1、K2、...、K8 |
表示廣義麥斯威爾模型方程式中的 k1、k2、...、k8 |
TAUK1、TAUK2、...、TAUK8 |
表示廣義麥斯威爾模型方程式中的 t1k、t2k、...、t8k |
WLF 方程式參數 |
REFTEMP |
表示 WLF 方程式中的 T0 |
VC1 |
表示 WLF 方程式中的 C1 |
VC2 |
表示 WLF 方程式中的 C2 |
在表格 & 曲線標籤下定義剪力或容積鬆弛曲線時,時間 t1 的曲線的第一點為 G1 或 K1 模數。在時間 t = 0 時,程式會根據彈性模數及 Poisson 比自動計算 G0 或 K0。
黏彈性材料模型可應用於粗略及精細品質的實體及厚殼元素。