瑞利阻尼
n x n 对称阻尼矩阵 [C] 以质量 [M] 和刚度 [K] 矩阵的线性组合公式化形式阐述:
(方程式 1)
(方程式 1)所描述的阻尼的类型称为瑞利阻尼或比例阻尼。
这种形式的 [C] 与系统的特征向量正交。
通过模态坐标转换,模态阻尼矩阵 [c] 将变为对角关系:
(方程式 2)
您可为线性和非线性动态算例定义瑞利阻尼。
瑞利系数和模态阻尼比率的关系
模态阻尼矩阵 [c] 由以下公式指定:
(方程式 3)
ith 模式的粘性阻尼系数 ci 由以下公式计算得出:
(方程式 4),
粘性阻尼比率 zi 表达式为
(方程式 5)
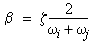
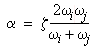
如果 ith 和 jth 模式的阻尼比率为 zi 和 zj,则瑞利系数 a 和 b 由两个代数方程式求解计算得出:
(方程式 6)
如果这两种模式具有相同的阻尼比率 ( zi= zj = z) ,那么 a and b 的值由以下公式指定:
(方程式 7)
(方程式 8)
所有其它模式的粘性阻尼比率 z 将随频率的变化而变化,如图所示:

相关主题
整体阻尼