隱藏目錄

Hyperelastic Ogden 模型

Ogden 應變能密度函式定義如下:

其中,li 是主伸展率,aimi 是材料常數,而 N 是函式中的項數,此乃公認為描述橡膠類材料的大幅變形之最佳函式。Ogden 模型的公式中使用到的罰函數採取 Mooney Rivlin 模型中使用的形式。實際使用的應變能函數則是將 Ogden 函式加以修改後的表達式:

其中 J 是變形量與未變形量的比例,N 是函式中的項數,G(J)=J2- 1,且

三項式 (經過修改的 Ogden) 模型的運用最為普遍。程式中最多可用到四項式模型 (N=4)。

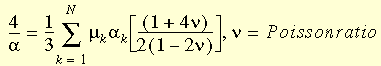
除了上述的材料常數之外,也需要 Poisson 比。在多數狀況中,只要將 Poisson 比指定在 0.49 到 0.499 的範圍內,即可獲得理想的結果。此外,除非牽涉到大量的體積應變,否則增加 Poisson 比並不會對數值運算結果造成重大影響。當 Poisson 比幾近於 0.5 時,會因為勁度矩陣中產生負對角項或缺乏收斂性,而導致求解終止。

Ogden 模型的材料屬性係透過材料對話方塊輸入。必要項目包括:

  • ALPH1、ALPH2、ALPH3、ALPH4;

  • MU1、MU2、MU3、MU4;及

  • NUXY

當在材料 對話方塊中的使用曲線資料來計算材料常數被核取時,會自動計算Ogden 模型常數。常數會以文字檔案被儲存在研究的啟用結果資料夾中,並有 .log 的副檔名。

Ogden 模型可應用在使用厚殼公式的實體及薄殼元素。

定義超彈性模型...



提供對此主題的意見反應

SOLIDWORKS 歡迎您提供有關於文件呈現方式、正確性、及完整性的意見反應。請使用下方的表格直接將您對此主題的意見與建議傳送給我們的文件團隊。文件團隊並無法回答關於技術支援的問題。按一下此處來獲得關於技術支援的資訊

* 必要的

 
*電子郵件:  
主旨:   說明主題的意見反應
頁面:   Hyperelastic Ogden 模型
*意見:  
*   我承認已閱讀且僅此接受隱私權政策,Dassault Systèmes 將遵循此政策之規定使用我的個人資料

列印主題

選擇要列印的內容範圍:

x

偵測到您使用的瀏覽器版本是舊於 Internet Explorer 7。要獲得最佳的顯示,建議您升級瀏覽器到 Internet Explorer 7 或更新的版本。

 不要再次顯示此訊息
x

Web 式說明內容版本:SOLIDWORKS 2011 SP05

要從 SOLIDWORKS 中停用 Web 式的說明並改用本機說明,請按一下說明 > 使用 SOLIDWORKS Web 式說明

要報告在 Web 式說明介面及搜尋中遇到的問題,請聯絡您當地的技術支援代表。要針對個別說明主題提供意見反應,請使用個別主題頁面中的「提供對此主題的意見反應」連結。