隱藏目錄

黏彈性模型

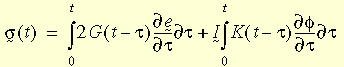
彈性模型基於其黏彈性材料所特有的黏性效應,而能夠耗散力學能。在多軸向應力狀態中,其本構關係式可如下表示:

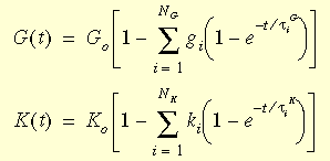
其中 ef 是軸差及體積應變;G(t - t)K(t - t) 是剪力及容積鬆弛函數。鬆弛函數之後可由力學模型(如此圖所示),該模型通常是指具有以下表達式的廣義麥斯威爾模型 (Generalized Maxwell Model):

其中 G0K0 是根據下式得出的初始剪力及容積模數:G0  =E/2(1+v) K0  =E/3(1-2v)。

gikitiG、及 tiK 是 i-th 剪力與容積模數以及對應時間。

材料行為上的溫度效應係透過時間-溫度相依性原則代入。該原則的數學式為:

其中 g t 是減少的時間,而 g 是轉換函數。使用 WLF (Williams-Landel-Ferry) 方程式概算出下列函數:

其中 TO 是參考溫度,通常是採用玻璃轉折溫度;C1 和 C2 是材料相依常數。

 

必要參數包括:

參數

符號

描述

線性彈性參數

EX

彈性模數

NUxy

Poisson 比

GXY(選用項目)

剪力模數

鬆弛函數參數

G1、G2、G3、...、G8

表示廣義麥斯威爾模型方程式中的 g1、g2、...、g8

TAUG1、TAUG2、...、TAUG8

表示廣義麥斯威爾模型方程式中的 t1gt2g、...、t8g

K1、K2、...、K8

表示廣義麥斯威爾模型方程式中的 k1、k2、...、k8

TAUK1、TAUK2、...、TAUK8

表示廣義麥斯威爾模型方程式中的 t1kt2k、...、t8k

WLF 方程式參數

REFTEMP

表示 WLF 方程式中的 T0

VC1

表示 WLF 方程式中的 C1

VC2

表示 WLF 方程式中的 C2

表格 & 曲線標籤下定義剪力或容積鬆弛曲線時,時間 t1 的曲線的第一點為 G1K1 模數。在時間 t = 0 時,程式會根據彈性模數及 Poisson 比自動計算 G0K0

黏彈性材料模型可應用於粗略及精細品質的實體及厚殼元素。

 



提供對此主題的意見反應

SOLIDWORKS 歡迎您提供有關於文件呈現方式、正確性、及完整性的意見反應。請使用下方的表格直接將您對此主題的意見與建議傳送給我們的文件團隊。文件團隊並無法回答關於技術支援的問題。按一下此處來獲得關於技術支援的資訊

* 必要的

 
*電子郵件:  
主旨:   說明主題的意見反應
頁面:   黏彈性模型
*意見:  
*   我承認已閱讀且僅此接受隱私權政策,Dassault Systèmes 將遵循此政策之規定使用我的個人資料

列印主題

選擇要列印的內容範圍:

x

偵測到您使用的瀏覽器版本是舊於 Internet Explorer 7。要獲得最佳的顯示,建議您升級瀏覽器到 Internet Explorer 7 或更新的版本。

 不要再次顯示此訊息
x

Web 式說明內容版本:SOLIDWORKS 2011 SP05

要從 SOLIDWORKS 中停用 Web 式的說明並改用本機說明,請按一下說明 > 使用 SOLIDWORKS Web 式說明

要報告在 Web 式說明介面及搜尋中遇到的問題,請聯絡您當地的技術支援代表。要針對個別說明主題提供意見反應,請使用個別主題頁面中的「提供對此主題的意見反應」連結。