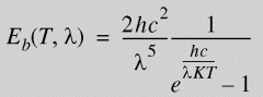
蒲朗克定律將黑體的輻射強度指定為波長 (或頻率) 函數。
其中:
h = 蒲朗克常數 = 6.6262X10-34 joule.sec
c = 真空中的光速
l = 放射輻射的波長
K = 波茲曼常數
T = 絕對溫度
提供對此主題的意見反應
SOLIDWORKS 歡迎您提供有關於文件呈現方式、正確性、及完整性的意見反應。請使用下方的表格直接將您對此主題的意見與建議傳送給我們的文件團隊。文件團隊並無法回答關於技術支援的問題。按一下此處來獲得關於技術支援的資訊。
* 必要的
感謝您寶貴的意見。如果我們對您的意見反應有任何的問題,將會與您聯絡。
誠摯地,SOLIDWORKS 文件團隊敬上
列印主題
選擇要列印的內容範圍:
偵測到您使用的瀏覽器版本是舊於 Internet Explorer 7。要獲得最佳的顯示,建議您升級瀏覽器到 Internet Explorer 7 或更新的版本。
Web 式說明內容版本:SOLIDWORKS 2012 SP05 要從 SOLIDWORKS 中停用 Web 式的說明並改用本機說明,請按一下說明 > 使用 SOLIDWORKS Web 式說明。 要報告在 Web 式說明介面及搜尋中遇到的問題,請聯絡您當地的技術支援代表。要針對個別說明主題提供意見反應,請使用個別主題頁面中的「提供對此主題的意見反應」連結。