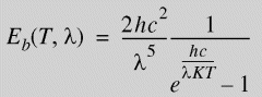
Distribution de Planck
La loi de Planck donne l'intensité rayonnée par un corps noir comme une fonction de longueur d'onde (ou de fréquence).

Où:
h = Constante de Planck = 6.6262X10-34 joule.sec
c = Vitesse de la lumière dans le vide
l = Longueur d'onde de la radiation émise
K = Constante de Boltzmann
T = Température absolue