Экстраполяция данных кривой функции
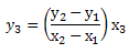
Когда программ достигает точки, для которой отсутствуют данные кривой, она экстраполирует недостающие данные с помощью углового коэффициента, определяемого по двум последним точкам на кривой функции.

Например, если на схеме выше изображена кривая растяжения-сжатия с растяжением по оси X и сжатием по оси Y, то сила сжатия y3 рассчитывается на основе силы растяжения x3 следующим образом:
