Распределение Планка
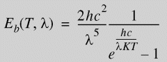
Закон Планка дает нам интенсивность, излучаемую абсолютно черным телом, как функцию длины волны (или частоты).

Где:
h = постоянная Планка = 6,6262х10-34 дж.сек
c = Скорость света в вакууме
l = Длина волны испускаемого излучения
K = постоянная Больцмана
T = Абсолютная температура