Демпфирование по Релею
n x n симметричная матрица демпфирования [C] сформулирована в качестве линейной комбинации матриц масс [М] и жесткости [К]:
(Уравнение 1).
Тип демпфирования, описанный в (Уравнении 1), называется демпфирование по Релею или пропорциональное демпфирование.
Настоящая форма [C] является ортогональной по отношению к системе собственных векторов.
После применения модального преобразования координат матрица модального демпфирования [c] становится диагональной:
(Уравнение 2).
Можно определить демпфирование по Релею для линейных и нелинейных динамических исследований.
Отношение коэффициентов Релея и коэффициента модального демпфирования
Матрица модального демпфирования [c] получается из:
(Уравнение 3).
Коэффициент вязкостного демпфирования ciдля i-й моды подсчитан по:
(Уравнение 4),
и коэффициент вязкостного демпфирования ziвыражается как:
(Уравнение 5).
Если коэффициент демпфирования для i и j мод являются z
i и z
j, то коэффициенты по Релею a и b рассчитываются с помощью решений алгебраических уравнений:
(Уравнение 6).
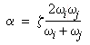
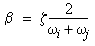
Если обе моды обладают одинаковым коэффициентом демпфирования ( z
i = z
j = z) , то значения a и b
определяются в:
(Уравнение 7)
(Уравнение 8)
Коэффициент вязкостного демпфирования z любой другой моды изменяется с частотой, как показано на рисунке:

Связанные разделы
Глобальное демпфирование