Погрешность напряжения
После выполнения расчетов смещений на всех узлах программа выполняет вычисление деформаций, а затем напряжений в независимой форме для каждого элемента. Напряжения вычисляются в определенных точках в каждом элементе. Эти точки стратегически расположены внутри элемента для обеспечения точных результатов. Они называются гауссовыми точками или точками квадратуры.
После вычисления напряжений в гауссовых точках программа вычисляет узловые напряжения для элемента с помощью экстраполирования.
Для точного решения все элементы должны давать идентичные значения напряжений в общих узлах. В то время, как поле перемещений, получаемое при помощи АКЭ, непрерывно, поле напряжений обычно разрывно от одного элемента к другому. Различные элементы дают значения напряжения, которые, в общем случае, различаются в некотором общем узле. Программа рассчитывает узловые напряжения в общем узле усреднением значений, задаваемых вносящими вклад элементами.
Вариация в напряжениях в общих узлах обеспечивает некоторую меру точности решения, основанную на принципах энергии деформации. Программа оценивает распределение погрешности следующим образом:
Предположим, что:
si*= напряжение в общем узле от некоторого ассоциированного элемента
s= усредненное напряжение в этом общем узле
Разница между значением напряжения, вычисленного на одном элементе общего узла, и усредненным напряжением выражается как:

Погрешность по норме энергии для каждого элемента вычисляется из такого соотношения:

где D – матрица упругости и Wi – область элемента. Глобальная оценка погрешности вычисляется суммированием погрешностей всех элементов:

где n – общее число элементов. Процентная погрешность для каждого элемента вычисляется из такого соотношения:

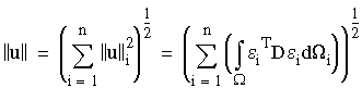
где ||u|| – это удвоенная общая энергия деформации, вычисленная из:

где e есть вектор деформации.
Величина h
i выводится на эпюру, когда вы устанавливаете Тип результата на Значения элементов и Компоненты на ERR: Энергия напряжения в
Эпюре напряжения PropertyManager
. Заметим, что выводимая на эпюру погрешность представляет собой оценку по норме энергии, а не в напряжениях. Однако, ее можно просмотреть для представления относительного распределения погрешностей напряжений в равномерных сетках. Эта величина используется p-адаптивным методом для улучшения результатов в местах с высокими по величине погрешностями по энергии.
Для более подробных сведений об оценке погрешностей обратитесь к литературе: International Journal for Numerical Methods in Engineering, vol. 24, 337-357 (1987) “A Simple Error Estimator and Adaptive Procedure for Practical Engineering Analysis” by O.C. Zienkiewicz and J. Z. Zhu).