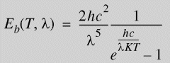
Planck 定律提出黑体辐射的强度与波长(或频率)的函数关系。
其中:
h = Planck 常数 = 6.6262X10-34 joule.sec
c = 光在真空中的速度
l = 所发出辐射的波长
K = Boltzmann 常数
T = 绝对温度
提供对该主题的反馈
SOLIDWORKS 欢迎您对此文档的外观、准确性及完整性提供反馈。请使用以下表格,将您对该主题的评论和建议直接发送给我们的文档团队。文档团队不能回答技术支持问题。单击此处获取有关技术支持的信息。
* 必填
感谢您的意见。如果我们对您的反馈有任何疑问,将会与您联系。
此致,SOLIDWORKS 文档团队
打印主题
选择要打印的内容范围:
我们检测到您在使用旧于 Internet Explorer 7 的浏览器版本。为优化显示,我们建议您将您的浏览器升级到 Internet Explorer 7 或以上。
Web 帮助内容版本:SOLIDWORKS 2012 SP05 要从 SOLIDWORKS 中禁用 Web 帮助并使用本地帮助,请单击帮助 > 使用 SOLIDWORKS Web 帮助。 要报告在 Web 帮助界面和搜索中所遇到的问题,请联系您的当地支持代表。要提供单个帮助主题的反馈,请使用单个主题页面上的“对该主题的反馈”链接。