隐藏目录

分析步骤 - 谐波

谐波分析用于计算系统对谐波载荷的稳态峰值响应。

在每个解算步骤,所有应用载荷和基准激发都具有相同的频率。量由关联的频率曲线定义。

假定谐波节点力向量 {P} 被定义为:

(方程式 1)或 (方程式 2),

其中:

bsp;Pk 是 kth 自由度的方向上的力度。

w 是激发频率,

bsp;gk 是力的相位角度。

对于线性系统,系统的运动方程式分离为 n 个模态方程式:

(方程式 3)。

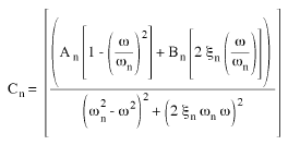
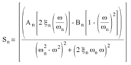
将力向量 {P} 替换到(方程式 3)中会形成:

(方程式 4),其中

bsp;(方程式 5)

(方程式 4)的稳态解为:

(方程式 6)。

(方程式 6)的实际零件为:

(方程式 7),其中

(方程式 8)和 (方程式 9)。

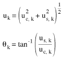
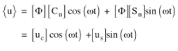
位移向量 u 由以下公式指定:

(方程式 10)或

(方程式 11)

kth 自由度的位移量 uk 和相应的相位角度 qk 为:

(方程式 12)

速度和加速度响应从(方程式 11)的衍生物派生而来。它们的量为:

(方程式 13)

速度和加速度相位角度为 900 和 1800 异相(相对于位移相位角度)。



提供对该主题的反馈

SOLIDWORKS 欢迎您对此文档的外观、准确性及完整性提供反馈。请使用以下表格,将您对该主题的评论和建议直接发送给我们的文档团队。文档团队不能回答技术支持问题。单击此处获取有关技术支持的信息

* 必填

 
*电子邮件:  
主题:   对帮助主题的反馈
页面:   分析步骤 - 谐波
*评论:  
*   本人确认已阅读并且接受 Dassault Systèmes 按照《隐私政策》使用本人的个人数据

打印主题

选择要打印的内容范围:

x

我们检测到您在使用旧于 Internet Explorer 7 的浏览器版本。为优化显示,我们建议您将您的浏览器升级到 Internet Explorer 7 或以上。

 永不再显示此信息
x

Web 帮助内容版本:SOLIDWORKS 2012 SP05

要从 SOLIDWORKS 中禁用 Web 帮助并使用本地帮助,请单击帮助 > 使用 SOLIDWORKS Web 帮助

要报告在 Web 帮助界面和搜索中所遇到的问题,请联系您的当地支持代表。要提供单个帮助主题的反馈,请使用单个主题页面上的“对该主题的反馈”链接。