应用 Tsai-Wu 准则以确定复合正交各向异性壳体的安全系数。
此准则为预测失败考虑总应变能(包括失真能和扩张能)。它比 Tsai-Hill 失败准则更常见,因为它区分压缩和张力失败强度。
对于 2D 平面应力状态 (σ3 = 0, τ13 =0, τ23 =0),Tsai-Wu 失败准则的表示如下:

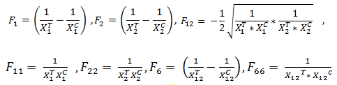
正交各向异性 Tsai-Wu 失败准则的系数 Fij 与薄层的材料强度参数相关,并且可以通过实验进行确定。通过这些公式进行计算:

- XT1
- 薄层沿纤维方向的张力材料强度
- XC1
- 薄层沿纤维方向的压缩材料强度
- XT2
- 薄层横切纤维方向的张力材料强度
- XC2
- 薄层横切纤维方向的压缩材料强度
- XT12
- 薄层的正抗剪强度
- XC12
- 薄层的负抗剪强度(解算器认为它等于正抗剪强度)
由程序计算的薄层应力状态用以下元素描述:σ
1、σ
2 和 τ
12- σ1
- 薄层沿纤维方向的应力
- σ2
- 薄层横切纤维方向的应力
- τ12
- 薄层抗剪应力
请参阅如何定义复合主要层材料方向。
程序报告安全系数 (FOS) 是根据上述的 Tsai-Wu 准则,使用所有薄层应力分量乘以达到的薄层失败所获得的系数。薄层失败的 FOS 计算如下:
,其中系数由以下公式指定:

安全系数值大于 1.0 表示薄层不会失败。
注意: Tsai-Wu 失败准则无法预测包括纤维失败、矩阵失败和纤维-矩阵失败接口失败在内的不同失败模式。