HyperElastic - Blatz Ko 模型
Blatz-Ko 應變能密度函數很適合用來塑建可壓縮聚醯胺發泡類型的橡膠模型,可以下式表示:

其中 G 是在無限變形 = E/2(1+
n
) 下的剪力模數,E 是彈性的楊氏係數,n 是 Poisson 比,I
k 是 C
=I
k
(
C
) 的不變量,C 是 Cauchy-Green 變形張量 = 2
e
+
I,e 是 Lagrangian 應變張量,而 I 是單位矩陣。
bsp;
上述表達式中僅包含一個材料常數 G。由於 Blatz-Ko 模型的 n = 0.25,唯一能納入考量的材料屬性只有楊氏係數。因此:

目前只有純實體元素 (粗略及精細品質) 的元素可支援 Blatz-Ko 模型。
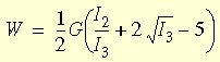
所選的 Blatz-Ko 模型是將 Blatz 和 Ko (1962) 所證得的表達式加以簡化後的形式,用來塑建高度可壓縮聚醯胺發泡橡膠的變形模式。應變能大致上如下列表達式:

其中

彈性位勢的此三參數族之特定形式,是由後來的學者提出,其中將下列常數 a、b 及 n 的值假設為:b = 0、n = 0.25 和 a = 0.5。