HyperElastic - Mooney Rivlin 模型
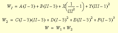
Mooney Rivlin 應變能密度函式如下式所示:

其中 I、II 和 III 是右 Cauchy-Green 變形張量的不變量,可以主伸展比例表示;A、B、C、D、E 及 F 是 Mooney 材料常數,而

需注意的是,由於材料近乎不可壓縮,故第三不變量 III 趨近於 1,而 Y 趨近於無限。因此,若 Poisson 比值接近 0.5,最後一項 w1 維持約束項,即可求出解答。
Mooney Rivlin 材料模型可應用在實體元素及厚殼。Mooney Rivlin 模型的材料屬性是材料對話方塊中的輸入項目。 bsp;最多可輸入六個 Mooney Rivlin 常數:Mooney_A、Mooney_B、Mooney_C、Mooney_D、Mooney_E、及 Mooney_F。
當在材料 對話方塊中的使用曲線資料來計算材料常數被核取時,會自動計算Mooney-Rivin 常數。常數會以文字檔案被儲存在研究的啟用結果資料夾中,並有 .log 的副檔名。
注意
-
使用 NR (Newton-Raphson) 迭代法。
-
Poisson 比值的可接受範圍為大於或等於 0.48、小於 0.5。若使用位移-壓力公式,Poisson 比值的範圍建議使用 0.499 到 0.4999。
-
橡膠類材料在低負載量下通常會迅速變形,因此需緩慢進行初始加載。
-
處理橡膠類材料時,基於問題的高度非線性行為,急速加載往往會導致數值不穩定性 (勁度中的負對角項),或於平衡迭代中發生分歧。自適性自動步階演算功能有助於解決此種情形。
-
若於各種加載速率下反覆出現負對角項,使用位移或弧長控制可能比力控制更為有效。
-
對於使用厚殼公式的薄殼元素,由於不可壓縮性不會產生非約束項,故可簡化分析。其假設完全不可壓縮性 (Poisson 比為 0.5) 而導出公式,因此 NUXY 會被忽略。
-
常數 A 及 B 必須定義為 (A+B) > 0。若需有關如何決定 A 及 B 常數值的詳細資訊,請參閱 的研究論文。
定義超彈性模型…