Tsai-Wu 準則便會套用以判定複合正交薄殼的安全係數。
此準則在於考量預測失敗所需的總應變能 (包括畸變能和脹縮能)。比起 Tsai-Hill 失敗準則,此準則較為普遍,因為它能夠區分抗壓及抗拉失敗強度。
若為 2D 狀態平面應力 (σ3 = 0, τ13 =0, τ23 =0),Tsai-Wu 失敗準則被表達為:

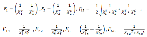
正交 Tsai-Wu 失敗準則的係數 Fij 與疊層的材料強度參數相關,由實驗決定。由以下公式計算而得:

- XT1
- 沿著纖維方向的層板抗拉材料強度
- XC1
- 沿著纖維方向的層板抗壓材料強度
- XT2
- 橫穿纖維方向的層板抗拉材料強度
- XC2
- 橫穿纖維方向的層板抗壓材料強度
- XT12
- 層板的正剪力強度
- XC12
- 層板的負剪力強度 (求解器認定其等於正剪力強度)
由程式計算的的疊層應力狀態可用下列要素描述:σ
1、σ
2 及 τ
12- σ1
- 沿著纖維方向的層板應力
- σ2
- 橫穿纖維方向的層板應力
- τ12
- 層板剪應力
參閱如何定義複材疊層材料主軸方向。
程式會報告安全係數 (FOS),根據上述 Tsai-Wu 準則,所有層板應力要素皆應乘以該係數以達到層板失敗。層板失敗的 FOS 計算如下:
,其中的係數如下所示:

大於 1.0 的安全係數表示層板安全不會失敗。
小心: Tsai-Wu 失敗準則無法預測不同的失敗模式,包括纖維失敗、基體失敗及纖維-基體界面失敗。