Rayleigh 阻尼
x00a0;n x n 對稱阻尼矩陣 [C] 用公式表示為質量 [M] 和勁度 [K] 矩陣的線性組合:
(方程式 1)
(方程式 1) 所描述的阻尼類型稱為 Rayleigh 或比例阻尼。
此 [C] 形式與系統特徵向量正交。
藉由套用形式座標轉換,形式阻尼矩陣 [c] 會變成對角:
(方程式 2)
您可以為線性及非線性動態研究定義 Rayleigh 阻尼。
Rayleigh 係數與形式阻尼比例的限制條件
形式阻尼矩陣 [c] 的計算公式如下:
(方程式 3)
ith 模式的黏性阻尼 ci 的係數是由以下所計算:
(方程式 4),
黏滯阻尼比 zi被表達為
(方程式 5)
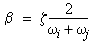
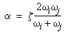
如果 ith 和 jth 模式的阻尼比例為 zi 和 zj,則 Rayleigh 係數 a 和 b是透過兩個代數方程式的解答計算:
(方程式 6)
如果兩個模式擁有相同的阻尼比例 ( z
i = z
j = z),則 a 和 b 的值是由以下方程式計算得出:
(方程式 7) bsp;
(方程式 8)
隨頻率變化的任何其他模式的黏性阻尼比例 z 如下圖所示:

相關主題
整體阻尼