Nombre de Prandtl
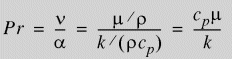
Le nombre de Prandtl est un paramètre qui exprime l'épaisseur de la vitesse et des couches limites thermiques et qui se traduit ainsi :

avec n représentant la viscosité cinématique, a la diffusivité thermique, r la densité du fluide, k la conductivité thermique du fluide et c
p la capacité thermique du fluide à une pression constante.
La viscosité cinématique n d'un fluide donne des informations sur le taux auquel la quantité de mouvement peut être diffusée par le fluide en raison du mouvement moléculaire. La diffusivité thermique a donne des informations sur la diffusion de la chaleur dans le fluide. Ainsi, le ratio de ces deux quantités exprime les ampleurs relatives de diffusion de quantité de mouvement et de chaleur dans le fluide.