Extrapolation von Funktionskurvendaten
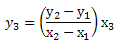
Wenn das Programm einen Punkt erreicht, für den keine Kurvendaten angegeben sind, werden die Informationen für diesen Punkt anhand der Steigung extrapoliert, die für die beiden letzten Punkte auf der Funktionskurve bestimmt wurde.

Wenn es sich beim oben gezeigten Diagramm beispielsweise um eine Spannungs-/Dehnungskurve handelt, mit der Dehnung auf der X-Achse und der Spannung auf der Y-Achse, wird der Wert für die Spannung y3 vom Wert der Dehnung x3 folgendermaßen berechnet:
