Rayleigh-Dämpfung
Die symmetrische Dämpfungsmatrix bsp;n x n [C] wird als lineare Kombination von Masse- [M] und Steifigkeitsmatrizen [K] formuliert:
(Gleichung 1)
Der in (Gleichung 1) beschriebene Dämpfungstyp wird als Rayleigh- oder proportionale Dämpfung bezeichnet.
Diese Form von [C] ist in Bezug auf die Eigenvektoren des Systems orthogonal.
Durch Anwendung der modalen Koordinatenumwandlung wird die modale Dämpfungsmatrix [c] diagonal:
(Gleichung 2)
Rayleigh-Dämpfung kann für lineare und nicht lineare dynamische Studien definiert werden.
Beziehung zwischen Rayleigh-Koeffizienten und modalem Dämpfungsverhältnis
Die modale Dämpfungsmatrix [c] ist angegeben durch:
(Gleichung 3)
Der Koeffizient der viskosen Dämpfung ci für die ith-Schwingung errechnet sich wie folgt:
(Gleichung 4)
und das viskose Dämpfungsverhältnis zi wird ausgedrückt durch
(Gleichung 5)
Wenn die Dämpfungsverhältnisse für die ith- und jth-Schwingungen z
i und z
j sind, errechnen sich die Rayleigh-Koeffizienten a und b aus der Lösung der beiden algebraischen Gleichungen:
(Gleichung 6)
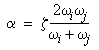
Wenn beide Schwingungen dasselbe Dämpfungsverhältnis (
z
i = z
j = z) haben, werden die Werte a und b wie folgt angegeben:
(Gleichung 7) bsp;
und (Gleichung 8)
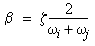
Das viskose Dämpfungsverhältnis z für alle anderen Schwingungen verändert sich in Abhängigkeit von der Frequenz, wie in der Abbildung dargestellt:

Siehe auch
Globale Dämpfung