Spannungsfehler
Nach der Berechnung der Verschiebungen an allen Knoten berechnet das Programm die Dehnungen und dann die Spannungen unabhängig für alle Elemente. Die Spannungen werden an bestimmten Punkten innerhalb der einzelnen Elemente berechnet. Diese Punkte befinden sich an strategisch relevanten Stellen in den Elementen, damit präzise Ergebnisse erzielt werden. Sie werden als Gauss-Punkte oder Quadraturpunkte bezeichnet.
Nach der Berechnung der Spannungen an den Gauss-Punkten berechnet das Programm durch Extrapolation die Knotenspannungen für jedes Element.
Um eine genaue Lösung zu erzielen, sollten alle Elemente identische Spannungswerte an ihren gemeinsamen Knoten zurückgeben. Während das von der FEA ermittelte Verschiebungsfeld kontinuierlich ist, sind Spannungsfelder normalerweise von einem Element zum nächsten nicht kontinuierlich. Die Spannungswerte verschiedener Elemente sind an einem gemeinsamen Knoten meist unterschiedlich. Das Programm berechnet die Knotenspannungen an einem gemeinsamen Knoten durch Ermittlung eines Durchschnittswerts der beteiligten Elemente.
Die Spannungsvariation an gemeinsamen Knoten bietet ein Maß für die Genauigkeit der Lösung, und zwar auf Grundlage von Dehnungsenergiegrundsätzen. Die Fehlerverteilung wird in der Software folgendermaßen geschätzt:
Gehen Sie von folgender Annahme aus:
si*= Spannung am gemeinsamen Knoten von einem assoziierten Element
s = durchschnittliche Spannung am gemeinsamen Knoten
Der Unterschied zwischen dem von einem Element an einem gemeinsamen Knoten berechneten Spannungswert und dem durchschnittlichen Spannungswert wird folgendermaßen ausgedrückt:

Der Energienormfehler für jedes Element wird folgendermaßen berechnet:

Dabei ist D die Elastizitätsmatrix und Wi der Elementbereich. Eine globale Fehlerschätzung wird berechnet, indem die Fehler aller Elemente summiert werden:

Dabei ist n die Gesamtanzahl der Elemente. Der prozentuale Fehleranteil für jedes Element wird folgendermaßen berechnet:

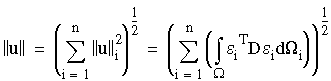
Dabei ist ||u|| die doppelte Gesamtdehnungsenergie, die folgendermaßen berechnet wurde:

Dabei ist e der Dehnungsvektor.
Die Größe h
i wird dargestellt, wenn Sie den Ergebnistyp auf Elementwerte und Komponente auf ERR: Spannungsenergie einstellen. Für diese Einstellungen verwenden Sie den
PropertyManager "Spannungsdarstellung"
. Beachten Sie, dass der dargestellte Fehler eine Abschätzung des Energienormfehlers und nicht des Spannungsfehlers ist. Er kann jedoch zur Darstellung der relativen Spannungsfehlerverteilung in homogenen Netzen angezeigt werden. Diese Größe wird von der P-Adaptiven-Methode verwendet, um die Ergebnisse an Stellen mit mehr Energiefehlern zu verbessern.
Weitere Informationen zur Fehlerabschätzung finden Sie in der Dokumentation International Journal for Numerical Methods in Engineering, Vol. 24, 337-357 (1987) „A Simple Error Estimator and Adaptive Procedure for Practical Engineering Analysis“ von O.C. Zienkiewicz und J. Z. Zhu).