目次を表示しない

プラントル数

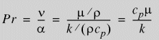
プラントル数は、速度と温度の境界層の厚さに関するパラメータで、次の式で与えられます。

ここで、n は運動学的粘性、a は熱拡散、r は流体密度、k は液体の熱伝導率、c p は液体の常圧における熱容量を表します。

液体の運動学的粘性 n は、分子運動によって運動量が液体を通して拡散する割合を明らかにします。熱拡散 a は、液体内の熱の拡散に関する情報を明らかにします。この二つの量の割合は、液体内の運動量と熱の拡散の相対的な大きさを意味します。



トピックについてフィードバックを送信

ヘルプに関してフィードバックを送信することができます。しかし、ドキュメンテーション グループはテクニカル サポートに関する質問に答えることはできません。 テクニカル サポートに関する情報はここをクリックしてください

* 必要項目

 
*電子メール:  
件名:   トピックのフィードバック
ページ:   プラントル数
*コメント:  
*   プライバシー ポリシーを読み、個人情報が Dassault Systèmes によって使用されることに同意します。

トピックの印刷

印刷するコンテンツの範囲を選択:

x

Internet Explorer 7 より古いブラウザ バージョンが検知されました。 表示を最適化するにはInternet Explorer 7 以上のブラウザ バージョンにアップグレードしてください。

 今後このメッセージを表示しない
x

Web ヘルプ コンテンツ バージョン: SOLIDWORKS 2012 SP05

SOLIDWORKS で Web ヘルプを無効にして、ローカル ヘルプを使用するには、ヘルプ > SOLIDWORKS Web ヘルプ使用 をクリックしてください。

Web ヘルプのインタフェースや検索機能に関する問題は、お客様のサポート担当者までご連絡ください。各トピック ページの「トピックについてフィードバックする」リンクを使用し、各ヘルプ トピックについてフィードバックを送信することもできます。