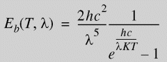
플랑크 법칙은 흑체에서 발하는 복사 강도를 파장(또는 진동수) 기능으로 계산합니다.
여기서:
h = 플랑크 상수 = 6.6262X10-34 joule.sec
c = 진공 상태의 광속
l = 복사 파장
K = 볼츠만 상수
T = 절대 온도
이 도움말에 대한 피드백 제공
SOLIDWORKS는 도움말 정보의 개선을 위한 고객님의 제안 사항과 의견을 환영합니다. 제안하고자 하는 의견을 아래 양식에 작성하여 도움말 문서 팀에 직접 전달할 수 있습니다. 문서 팀은 제품에 관한 기술적인 지원은 하지 않습니다. 기술 지원에 관한 정보는 여기를 클릭하십시오.
* 필수 입력
의견을 보내주셔서 감사합니다. 고객님의 피드백에 관해 문의 사항이 있을 경우 연락 드리겠습니다.
감사합니다.SOLIDWORKS 문서 팀 드림
인쇄 항목
인쇄할 콘텐츠 범위 선택:
Internet Explorer 7 이전 버전을 사용하고 있습니다. 페이지를 최적화하려면 사용 브라우저를 Internet Explorer 7 이상으로 업그레이드합니다.
웹 도움말 콘텐츠 버전: SOLIDWORKS 2012 SP05 SOLIDWORKS에서 웹 도움말 기능을 비활성화하고 로컬 도움말을 사용하려면, 도움말 > SOLIDWORKS 웹 도움말 사용을 클릭합니다. 웹 도움말 인터페이스나 검색 기능에서 발생한 오류 사항을 보고하려면, 로컬 지원 서비스 담당자에게 문의하십시오. 개별 도움말 항목에 대한 피드백을 제공하려면, 각 도움말 페이지의 "이 단원에 대한 피드백 제공" 링크를 사용하십시오.