Extrapolação dos dados de curva de função
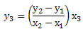
Quando o programa atinge um ponto para o qual os dados da curva não são fornecidos, ele extrapola as informações para aquele ponto usando o declive determinado a partir dos dois últimos pontos na curva de função.

Por exemplo, se o gráfico acima é uma curva de tensão-deformação, com a tensão no eixo X e a deformação no eixo Y, o valor de tensão y3 é calculado a partir do valor de tensão x3, como abaixo:
