Erro de tensão
Após calcular os deslocamentos em todos os nós, o programa calcula as deformações e em seguida as tensões para cada elemento, independentemente. As tensões são calculadas em determinados pontos dentro de cada elemento. Estes pontos ficam estrategicamente localizados dentro de um elemento, para que resultados precisos sejam obtidos. Eles são chamados de pontos gaussianos ou de quadratura.
Após calcular as tensões nos pontos gaussianos, o programa calcula por extrapolação as tensões dos nós para cada um dos elementos.
Para uma solução exata, todos os elementos devem possuir valores idênticos de tensão em seus nós comuns. Embora o campo deslocamento obtido pelo FEA seja contínuo, o campo tensão geralmente é descontinuidade entre elementos. Elementos distintos possuem valores de tensão geralmente diferentes para um nó comum. O programa calcula as tensões dos nós em um nó comum, através da média de valores dada pelos elementos contribuintes.
A variação nas tensões em nós comuns oferece uma forma de medir a precisão da solução com base em princípios de energia de deformação. O software estima a distribuição de erros da seguinte forma:
Suponha que:
si*= tensão no nó comum de um elemento associado
s = tensão média no nó comum
A diferença entre o valor de tensão calculado de um elemento em um nó comum e o valor da tensão média é indicado como:

O erro na norma de energia para cada elemento é calculado por:

onde D é a matriz de elasticidade e Wi é o domínio do elemento. Uma estimativa de erro global é calculada pela soma dos erros de todos os elementos:

onde n é o número total de elementos. O percentual de erro para cada elemento é calculado por:

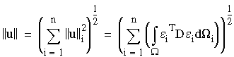
onde ||u|| é duas vezes a energia total de deformação calculada por:

onde e é o vetor da deformação.
A quantidade h
i é plotada quando você define o Tipo de resultado como Valores do elemento e o Componente como ERR: Energia de tensão no
PropertyManager de Plotagem de tensão
Note que o erro plotado é uma estimativa do erro na norma de energia e não nas tensões. No entanto, ele pode ser exibido de forma a representar a distribuição relativa de tensões em malhas homogêneas. Esta quantidade é usada pelo método p-adaptativo para melhorar os resultados em locais com maiores erros de energia.
Para mais informações sobre estimativa de erros, consulte International Journal for Numerical Methods in Engineering, vol. 24, 337-357 (1987) “A Simple Error Estimator and Adaptive Procedure for Practical Engineering Analysis” por O.C. Zienkiewicz e J. Z. Zhu).