Número de Prandtl
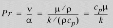
El número de Prandtl es un parámetro que relaciona los espesores de la velocidad y las capas límites térmicas, y está dado por:

donde n es la viscosidad cinemática, a es la difusividad térmica, r es la densidad del fluido, k es la conductividad térmica del fluido, y c
p es la capacidad calorífica del fluido a una presión constante.
La viscosidad cinemática n de un fluido revela información sobre la velocidad a la que el momentum puede difundirse a través del fluido debido al movimiento molecular. La difusividad térmica a revela información sobre la difusión de calor en el fluido. Por lo tanto, la razón entre estas dos cantidades expresa las magnitudes relativas de la difusión del momentum y del calor en el fluido.