Expand IntroducciónIntroducción
Expand AdministraciónAdministración
Expand Interfaz de usuarioInterfaz de usuario
Expand Conceptos básicos de SolidWorksConceptos básicos de SolidWorks
Expand Migrar de 2D a 3DMigrar de 2D a 3D
Expand EnsamblajesEnsamblajes
Expand CircuitWorksCircuitWorks
Expand ConfiguracionesConfiguraciones
Expand SolidWorks CostingSolidWorks Costing
Expand Design CheckerDesign Checker
Expand Estudios de diseño en SolidWorksEstudios de diseño en SolidWorks
Expand Dibujos y documentaciónDibujos y documentación
Expand DFMXpressDFMXpress
Expand DriveWorksXpressDriveWorksXpress
Expand FloXpressFloXpress
Expand Importación y exportaciónImportación y exportación
Expand Diseño a gran escalaDiseño a gran escala
Expand Visualización de modeloVisualización de modelo
Expand Diseño de moldesDiseño de moldes
Expand Estudios de movimientoEstudios de movimiento
Expand Piezas y operacionesPiezas y operaciones
Expand RoutingRouting
Expand Chapa metálicaChapa metálica
Collapse SolidWorks SimulationSolidWorks Simulation
Expand SimulationXpressSimulationXpress
Expand CroquizadoCroquizado
Expand SustainabilitySustainability
Expand SolidWorks UtilitiesSolidWorks Utilities
Expand ToleranciasTolerancias
Expand ToolboxToolbox
Expand Piezas soldadasPiezas soldadas
Expand Workgroup PDMWorkgroup PDM
Expand Solución de problemasSolución de problemas
Expand GlosarioGlosario
Ocultar tabla de contenido

Procedimiento de análisis - Armónico

Los análisis armónicos evalúan la respuesta de estado estable pico de un sistema a cargas armónicas.

En cada paso de solución, todas las cargas aplicadas y excitaciones de la base tienen la misma frecuencia. Las curvas de frecuencia asociadas definen las magnitudes.

Supongamos un vector de fuerza nodal armónica {P} definido como:

(Ecuación 1) o (Ecuación 2),

donde:

bsp;Pk es la magnitud de la fuerza en la dirección del grado de libertad kth

w es la frecuencia de excitación y

bsp;gk es el ángulo de fase de la fuerza.

Para sistemas lineales, las ecuaciones de movimiento del sistema están desacopladas en n ecuaciones modales:

(Ecuación 3).

Al sustituir el vector de fuerza {P} por (Ecuación 3) da como resultado:

(Ecuación 4), donde

bsp; (Ecuación 5)

La solución de estado estable para (Ecuación 4) es:

(Ecuación 6).

La pieza real para (Ecuación 6) es:

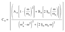
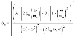
(Ecuación 7) donde

(Ecuación 8) y (Ecuación 9).

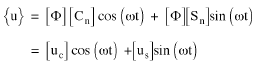
El vector de desplazamiento viene dado por:

(Ecuación 10) o

(Ecuación 11)

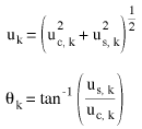
La magnitud de desplazamiento uk y el ángulo de fase correspondiente qk para el grado de libertad kth son:

(Ecuación 12)

Las respuestas de velocidad y aceleración se derivan de las derivadas de (Ecuación 11). Sus amplitudes son:

(Ecuación 13)

Los ángulos de fase de las velocidades y aceleraciones están 900 y 1800 fuera de la fase con respecto a los ángulos de fase de desplazamiento.



Proporcione comentarios sobre este tema

SOLIDWORKS agradece sus comentarios acerca del formato, la precisión y la rigurosidad de la documentación. Utilice el siguiente formulario para enviar comentarios y sugerencias sobre este tema directamente al equipo de documentación. Nota: el equipo de documentación no puede responder a preguntas técnicas. Haga clic aquí para ver información sobre soporte técnico.

* Obligatorio

 
*Correo electrónico:  
Asunto:   Comentarios sobre los temas de la ayuda
Página:   Procedimiento de análisis - Armónico
*Comentario:  
*   Por la presente confirmo que he leído y acepto la política de privacidad en virtud de la cual Dassault Systèmes usará mis Datos personales

Imprimir tema

Seleccione el ámbito del contenido que desee imprimir:

x

Hemos detectado que la versión de su explorador es anterior a Internet Explorer 7. Para una visualización óptima, le recomendamos que actualice a Internet Explorer 7 o versión superior.

 No volver a mostrar este mensaje
x

Versión del contenido de la ayuda web: SOLIDWORKS 2012 SP05

Para desactivar la ayuda web desde SOLIDWORKS y utilizar la ayuda local en su lugar, haga clic en Ayuda > Usar la ayuda web de SOLIDWORKS.

Para informar sobre problemas detectados con la interfaz y la función de búsqueda de la ayuda web, póngase en contacto con el representante local de soporte. Si desea proporcionar comentarios sobre temas individuales, utilice el vínculo “Comentarios sobre este tema” en la página del tema en cuestión.