Modelo hiperelástico de Blatz - Ko
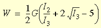
La función Blatz-Ko de densidad de energía correspondiente a la deformación unitaria resulta útil para modelar gomas o cauchos, como la espuma de poliuretano compresible, y puede expresarse de la siguiente manera:

donde G es el módulo cortante sujeto a deformaciones infinitesimales = E/2(1+
n
), E es el módulo de elasticidad de Young, n es el coeficiente de Poisson, I
k es la constante de C
=I
k
(
C
), C es el tensor de deformación de Cauchy-Green = 2
e
+
I, e es el tensor de deformación unitaria lagrangiano y I es la matriz de identidad.
bsp;
La expresión anterior contiene sólo una constante de material G. Puesto que n = 0.25 para el modelo de Blatz-Ko, la única propiedad de material que se considera es el módulo de Young. Por lo tanto,

El modelo de Blatz-Ko actualmente sólo es admitido por elementos sólidos (calidad alta y de borrador).
El modelo de Blatz-Ko seleccionado es una forma simplificada de la expresión obtenida por Blatz y Ko (1962) para modelar la deformación de una goma de espuma de poliuretano altamente compresible. La aproximación a la energía de deformación unitaria se realizó mediante la siguiente expresión:

donde

Posteriormente, se propuso una forma específica de esta familia de tres parámetros de potencial elástico en la que se asumieron los siguientes valores de las constantes a, b y n: b = 0, n = 0.25 y a = 0.5.