Extrapolación de datos de curva de función
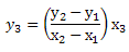
Cuando el programa llega a un punto para el cual no se proveen datos de curva, extrapola la información para ese punto utilizando la pendiente determinada a partir de los dos últimos puntos en la curva de función.

Por ejemplo, si el gráfico de arriba es una curva de tensión-deformación unitaria, con la deformación unitaria en el eje X y la tensión en el eje Y, el valor de la tensión y3 se calcula a partir del valor de la deformación unitaria x3 de la siguiente manera:
