Modelo hiperelástico de Mooney-Rivlin
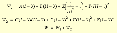
La función de densidad de energía de deformación unitaria de Mooney-Rivlin se expresa como:

donde I, II y III son constantes del tensor de deformación de Cauchy-Green derecho y pueden expresarse en términos de cocientes de estiramiento principales; A, B, C, D, E y F son constantes de materiales de Mooney.

A medida que el material se acerca a la incompresibilidad, debe tenerse en cuenta que la tercera constante III se acerca a la unidad mientras que Y se acerca al infinito. Por lo tanto, en los valores del coeficiente de Poisson cercanos a 0.5, el último término en w
1 permanece dentro de los límites y es posible obtener una solución.
El modelo de material de Mooney-Rivlin puede utilizarse con elementos sólidos y vaciados gruesos. Las propiedades de material para el modelo de Mooney-Rivlin se introducen en el cuadro de diálogo Material. bsp;Pueden ingresarse hasta seis constantes de Mooney-Rivlin: Mooney_A, Mooney_B, Mooney_C, Mooney_D, Mooney_E y Mooney_F.
Las constantes de Mooney-Rivin se computan automáticamente cuando la opción Usar datos de curva para computar constantes del material en el cuadro de diálogo
Material
está seleccionada. Estas constantes se guardan en un archivo de texto con la extensión .log en la carpeta de resultados activa para el estudio.
NOTAS
-
Utilice el método iterativo NR (Newton-Raphson).
-
Se aceptan valores del coeficiente de Poisson superiores o iguales a 0.48 pero inferiores a 0.5. Cuando se utiliza la fórmula de desplazamiento-presión, se recomienda el coeficiente de Poisson en el intervalo de 0.499 a 0.4999.
-
Los materiales similares al caucho generalmente se deforman rápidamente con cargas de baja magnitud, por lo que requieren una carga inicial lenta.
-
Al trabajar con materiales similares al caucho y, debido a un comportamiento altamente no lineal del problema, un rápido aumento en la carga producirá normalmente una inestabilidad numérica (condiciones diagonales negativas en la rigidez) o divergencia durante las iteraciones del equilibrio. El algoritmo de paso adaptable automáticamente puede ser útil en estos casos.
-
El desplazamiento o el control de la longitud del arco demuestran ser más efectivos que el control de la fuerza cuando se producen condiciones diagonales repetidas en velocidades de carga diversas.
-
Para elementos de vaciado con formulación de lámina gruesa, el análisis se simplifica puesto que la incompresibilidad no produce condiciones sin límite. La fórmula se deriva a partir de la suposición de una incompresibilidad perfecta (coeficiente de Poisson de 0.5) y, por lo tanto, NUXY se ignora.
-
Las constantes A y B deben definirse como (A+B) > 0. Para obtener más información sobre cómo determinar los valores de las constantes A y B, consulte el trabajo realizado por .
Para definir modelos hiperelásticos...