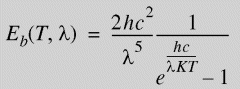
Distribución de Planck
La ley de Planck expresa la intensidad de radiación emitida por un cuerpo negro como una función de longitud de onda (o frecuencia).

Donde:
h = Constante de Planck = 6.6262X10-34 joule.sec
c = Velocidad de la luz en el vacío
l = Longitud de onda de la radiación emitida
K = Constante de Boltzmann
T = Temperatura absoluta