Modelo viscoelástico
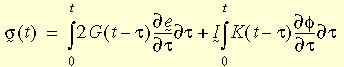
Los materiales elásticos que tienen la capacidad de disipar la energía mecánica debido a efectos viscosos se caracterizan como materiales viscoelásticos. Para un estado de tensión multiaxial, la relación constitutiva puede formularse de la siguiente manera:

donde e y f son las deformaciones unitarias desviatorias y volumétricas; G(t - t
) y K(t - t
) son funciones de relajación cortantes y masivas. Las funciones de relajación pueden representarse mediante el modelo mecánico (que se muestra en esta figura
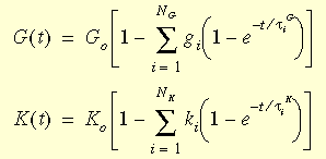
) que generalmente se menciona como un Modelo de Maxwell generalizado, expresándose de la siguiente manera:

donde G
0 y K
0 son los módulos cortantes y masivos iniciales (t = 0) proporcionados por: G
0
bsp;
= E/2(1+v) y K
0
bsp;
= E/3(1-2v).
g
i, k
i, t
i
G, y t
i
K son los módulos cortantes y de comprensibilidad i-avo y los tiempos correspondientes.
El efecto de la temperatura en el comportamiento del material se presenta mediante el principio de correspondencia entre tiempo-temperatura. La forma matemática del principio es:

donde g t es el tiempo reducido y g es la función de cambio. La ecuación WLF (Williams-Landel-Ferry) se utiliza para realizar una aproximación de la función:

donde TO es la temperatura de referencia que generalmente se selecciona como la Temperatura de transición vítrea; C1 y C2 son constantes dependientes del material.
Entre los parámetros obligatorios, se incluyen los siguientes:
Parámetro
|
Símbolo
|
Descripción
|
Parámetros elásticos lineales
|
EX
|
Módulo elástico
|
NUxy
|
Coeficiente de Poisson
|
GXY (opcional)
|
Módulo cortante
|
Parámetros de función de relajación
|
G1, G2, G3,..., G8
|
representan g1, g2,..., g8 en las ecuaciones del Modelo de Maxwell generalizado
|
TAUG1, TAUG2, ....., TAUG8
|
representan t
1
g, t
2
g,..., t
8
g en las ecuaciones del Modelo de Maxwell generalizado
|
K1, K2, ..., K8
|
representan k1, k2,..., k8 en las ecuaciones del Modelo de Maxwell generalizado
|
TAUK1, TAUK2, ..., TAUK8
|
representan t
1
k, t
2
k,..., t
8
k en las ecuaciones del Modelo de Maxwell generalizado
|
Parámetros de ecuación WLF
|
REFTEMP
|
representa T0 en la ecuación WLF
|
VC1
|
representa C1 en la ecuación WLF
|
VC2
|
representa C2 en la ecuación WLF
|
Al definir una curva de relajación cortante o masiva en la pestaña Tablas y curvas, el primer punto de la curva es el módulo G
1
bsp;
o K
1
bsp;
en el momento t
1. En el momento t = 0, el programa calcula automáticamente G
0
bsp;
o K
0 a partir del módulo elástico y el Coeficiente de Poisson.
El modelo de material viscoelástico puede utilizarse con los elementos de vaciado sólido y grueso de alta calidad y calidad de borrador.