El criterio Tsai-Wu se aplica para determinar el factor de seguridad de los vaciados ortrópicos compuestos.
Este criterio tiene en cuenta la energía de deformación total (la energía distorsión y la energía de dilatación) para predecir errores. Es más general que el criterio de error Tsai-Hill porque distingue entre las fuerzas de error de comprensión y tracción.
Para un estado 2D de tensión del plano (σ3 = 0, τ13 =0, τ23 =0), el criterio de error Tsai-Wu se expresa como:

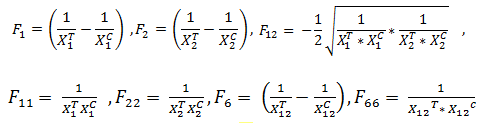
Los coeficientes Fij del criterio de error Tsai-Wu ortrópico se relacionan con los parámetros de resistencia del material de la lámina y son determinados por experimentos. Se calculan a partir de estas fórmulas:

- XT1
- límite de tensión material del laminado a lo largo de la dirección de la fibra
- XC1
- límite de compresión material del laminado a lo largo de la dirección de la fibra
- XT2
- límite de tensión material del laminado transversal a la dirección de la fibra
- XC2
- límite de compresión material del laminado transversal a la dirección de la fibra
- XT12
- límite cortante positivo del laminado
- XC12
- límite cortante negativo de laminado (el solver lo considera igual al límite de cortante positivo)
El estado de las tensiones de la lámina calculado por el programa se describe por los componentes: σ
1, σ
2 y τ
12- σ1
- tensión del laminado a lo largo de la dirección de la fibra
- σ2
- tensión de laminado transversal a la dirección de la fibra
- τ12
- tensión de cortadura del laminado
Consulte las definiciones de las Direcciones de materiales de pliegues principales compuestos.
El programa comunica el factor de seguridad (FOS), que es el coeficiente por el cual todos los componentes de la tensión del laminado deberían ser multiplicados para alcanzar el error de laminado de acuerdo con el criterio Tsai-Wu arriba establecido. El FOS para el error de laminado se calcula a partir de:
, en donde los coeficientes vienen dados por:

Un factor de seguridad mayor que 1,0 indica que el laminado está a salvo de errores.
Atención: El criterio de error Tsai-Wu no puede predecir distintos modos de error, incluido el error de fibra, el error de matriz y el error de conexión fibra-matriz.