由于粘性效应而能够消耗机械能的弹性材料具有粘弹性材料的特性。
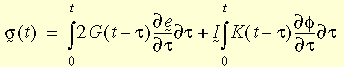
对于多轴应力状态,本构关系可以写成:

其中:e(bar)和 φ 是偏应变和体积应变;G(t - τ) 和 K(t - τ) 是抗剪弛张函数和整体弛张函数。
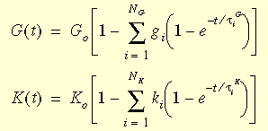
驰张函数可以由力学模型表示,通常称为广义麦克斯韦模型:

其中:G0 = E / 2(1+ ν),瞬时抗剪模量 (t=0)
并且 K0= E / 3(1 -2ν),瞬时整体模量 (t=0)
gi、ki、τiG 和 τiK 是第 i 个抗剪和体积模量以及对应的时间。

通过时间-温度对应原理引入了温度对材料行为的影响。此原理的数学形式为:

其中 γt 是缩短的时间,γ 是转换函数。WLF (Williams-Landel-Ferry) 公式用来近似计算此函数:

其中 T0 是参考温度,通常被选为玻璃过渡温度;C1 和 C2 是与材料有关的常量。
参数 |
材料属性 |
线性弹性参数 |
X 弹性模量 |
XY 中泊松比 |
XY 中抗剪模量 |
驰张函数参数 |
抗剪弛张模量(1 到 8) (代表广义麦克斯韦模型公式中的 g1,g2,...,g8)
|
时间值(抗剪弛张模量1 至 8)(代表广义麦克斯韦模型公式中的 τ1g,τ2g,...,τ8g) |
整体弛张模量(1 到 8) |
时间值(整体弛张模量1 至 8)(代表广义麦克斯韦模型公式中的 τ1k,τ2k,...,τ8k) |
WLF 公式参数
|
玻璃过渡温度 (代表着方程式中的 T0)
|
Williams-Landel-Ferry 方程第一常量 (代表着方程式中的 C1)
|
Williams-Landel-Ferry 方程第二常量 (代表着方程式中的 C2)
|
当在表格与曲线选项卡下定义抗剪弛张或整体弛张曲线时,曲线的第一个点 (t =1) 在时间为 11 时是 G1 或 K1 模量。在时间 t = 0,程序自动从弹性模态和泊松比率计算 G0 或 K0。
粘弹性材料模型可以用于草图和高品质实体以及厚外壳单元。