Expand 머리말머리말
Expand 관리관리
Expand 사용자 인터페이스사용자 인터페이스
Expand SolidWorks 기초SolidWorks 기초
Expand 기존 2D 사용자를 위한 도움말기존 2D 사용자를 위한 도움말
Expand 어셈블리어셈블리
Expand CircuitWorksCircuitWorks
Expand 설정설정
Expand SolidWorks CostingSolidWorks Costing
Expand Design CheckerDesign Checker
Expand SolidWorks 설계 스터디SolidWorks 설계 스터디
Expand 도면 및 도면화도면 및 도면화
Expand DFMXpressDFMXpress
Expand DriveWorksXpressDriveWorksXpress
Expand FloXpressFloXpress
Expand 불러오기/내보내기불러오기/내보내기
Expand 모델 표시모델 표시
Expand 금형 설계금형 설계
Expand 모션 스터디모션 스터디
Expand 파트와 피처파트와 피처
Expand RoutingRouting
Expand 판금판금
Collapse SimulationSimulation
Expand SimulationXpressSimulationXpress
Expand 스케치스케치
Expand Sustainability 제품Sustainability 제품
Expand SolidWorks UtilitiesSolidWorks Utilities
Expand 공차공차
Expand TolAnalystTolAnalyst
Expand ToolboxToolbox
Expand 용접구조물용접구조물
Expand Workgroup PDMWorkgroup PDM
Expand 문제 해결문제 해결
용어
목차 숨기기

통합 해석 방법

임의 진동 스터디에 다음과 같은 통합 해석 방법이 사용됩니다.

범용 해석 방법

임의 진동의 범용 해석 방법 절차는 다음과 같습니다.
  1. 특정 진동수 점이 요청한 자유 진동수 모드 주위에서 선택됩니다. 이러한 점의 위치는 편향 파라미터(biasing parameter) p의 값에 의존합니다.

    편향 파라미터 1.0의 경우, 모든 진동수 점이 자유 진동수 사이에 균등하게 분포됩니다. 편향 파라미터가 1.0보다 클 경우, 진동수 점은 자유 진동수에 더욱 가깝게 선택됩니다. 진동수 점의 기본값과 편향 파라미터는 첫 번째 모드의 댐핑비 ζ의 함수에 따라 주어집니다. 진동수 점 선택을 보여주는 그림을 보려면, 여기를 클릭하십시오.

    진동수 점과 ζ 함수 편향 파라미터의 기본값은 아래와 같습니다.

    모드 감쇠비 진동수(기본) 편향 파라미터(기본)
    ζ < 0.01 21 11
    0.01 < ζ < 0.1 21-4.34 ln(ζ /0.01) 11-3.47 ln(ζ /0.01)
    ζ > 0.1 11 3

    진동수 점 수편향 파라미터가 모두 0으로 지정되었을 때, 테이블 1에 주어진 기본값이 적용됩니다.

  2. 응답의 모달 psd는 각 진동수 점에서 계산됩니다. 단면 모드 절단 비율(RATIO)은 가능한 자유 진동수(wi / wj, i > j) 쌍의 비율에 제한을 둡니다.

    이는 wi / wj > RATIO를 가진 모드의 쌍에서 크로스 스펙트럼 밀도 항이 무시됨을 의미합니다. 단면 모드 효과는 RATIO =1일 때 고려되지 않습니다.

  3. 모달 psd는 지정한 진동수 영역에서 평균의 제곱치와 모달 응답의 공분산을 산출하며 수적으로 통합됩니다. 통합 해석은 로그-로그 보간 삽입법에 따라 각 진동수 구간에서 가우스(Gauss) 적분 차수 2 또는 3을 사용하여 실행됩니다. 평균 제곱 응답은 신뢰 구간 공헌을 합하여 얻어집니다.
  4. 마지막으로, 모달에서 노드로의 변형은 시스템의 RMS 변위, 속도, 가속도로 얻어집니다.

근사적 해석 방법

범용 통합 해석 방법은 큰 행렬의 수적인 통합으로 인해 계산 시간이 오래 걸릴 수 있습니다. 근사 통합 해석 방법은 다음과 같은 접근으로 간단한 솔루션을 사용합니다.
  • 한 모드가 다른 모드에 미치는 효과인 단면 모드 응답 Sx(ω)을 무시함. 예:

    (수식 1)

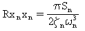
  • 각 모드 주위에서 가진 PSD가 일정한 것으로 간주됩니다. 그러므로 각 모드는 스펙트럼 밀도 Sn를 가진 "화이트 노이즈"에 의해 자극을 받는 것으로 가정됩니다. 여기에서,

    (수식 2)

    ωn은 모드 n(n = 1,2,...nf)의 고유 진동수입니다.

    화이트 노이즈의 경우, 평균 제곱 응답은 모달 응답으로 결정될 수 있습니다.

    (수식 3)

    (수식 4)

    (수식 5).



이 도움말에 대한 피드백 제공

SOLIDWORKS는 도움말 정보의 개선을 위한 고객님의 제안 사항과 의견을 환영합니다. 제안하고자 하는 의견을 아래 양식에 작성하여 도움말 문서 팀에 직접 전달할 수 있습니다. 문서 팀은 제품에 관한 기술적인 지원은 하지 않습니다. 기술 지원에 관한 정보는 여기를 클릭하십시오.

* 필수 입력

 
*전자 메일:  
제목:   도움말에 대한 피드백
페이지:   통합 해석 방법
*사용자 의견:  
*   개인정보 보호정책을 읽었으며 본 정책에 따라 Dassault Systèmes에서 내 개인 정보를 사용하는 것에

인쇄 항목

인쇄할 콘텐츠 범위 선택:

x

Internet Explorer 7 이전 버전을 사용하고 있습니다. 페이지를 최적화하려면 사용 브라우저를 Internet Explorer 7 이상으로 업그레이드합니다.

 이 메시지를 다시 표시하지 않음
x

웹 도움말 콘텐츠 버전: SOLIDWORKS 2013 SP05

SOLIDWORKS에서 웹 도움말 기능을 비활성화하고 로컬 도움말을 사용하려면, 도움말 > SOLIDWORKS 웹 도움말 사용을 클릭합니다.

웹 도움말 인터페이스나 검색 기능에서 발생한 오류 사항을 보고하려면, 로컬 지원 서비스 담당자에게 문의하십시오. 개별 도움말 항목에 대한 피드백을 제공하려면, 각 도움말 페이지의 "이 단원에 대한 피드백 제공" 링크를 사용하십시오.