이 옵션은 평면 응력 가정을 사용하여 문제를 모델링 합니다. 평면 응력 가정은 한 주 응력이 다른 두 응력에 비해 현저히 작아 무시할 수 있는 경우에 사용할 수 있습니다. 이 옵션을 사용하면 다른 두 치수에 비해 작은 한 치수로 얇은 슬래브를 모델링할 수 있습니다. 단면 평면에 수직으로 작용하는 하중은 무시됩니다.
아래 그림은 면내 인장력, 압축, 및 전단력을 받는 얇은 슬래브를 보여줍니다. 모델의 Y 치수는 X나 Z 치수에 비해 현저히 작은 것을 알 수 있습니다. 이 예제에서는 XZ 평면에 평행하는 단면 평면을 선택하여 두께를 지정하고 모서리에 하중과 구속을 부가했습니다.
시뮬레이션 결과에 다음과 같은 단순화를 사용할 수 있습니다.
변위 및 온도 |
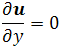
변위와 온도는 두께에 따라 변화하지 않습니다. 이 슬래브의 경우,
여기서 u는 변위 벡터입니다.
Py=0, 여기서 Py는 Y 방향의 하중입니다.
및 여기서 T는 온도 입니다.
|
응력 |
두께 방향의 면외 응력 요소는 0 입니다. 이 슬래브의 경우,
여기서 σ는 수직 응력을 나타내며 τ는 전단 응력을 나타냅니다.
|
변형 |
모든 변형 요소는 0이 아닙니다. 그러나 면외 변형 요소는 이 시뮬레이션에서 중요한 역할을 하지 않습니다. |