隐藏目录

Mooney - Rivlin 超弹性模型

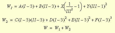
Mooney-Rivlin 应变能密度函数表示为:

25.gif

其中 I、II 和 III 是右 Cauchy-Green 变形张量的不变量,可以根据主要伸展比率表示;A、B、C、D、E 和 F 是 Mooney 材料常量,并且

必须注意到,当材料接近不可压缩时,第三不变量 III 会接近 1,而 Y 则接近无穷大。因此,如果泊松比率的数值接近 0.5,W1 中的最后一项仍然有界,可以得到解。

Mooney-Rivlin 材料模型可以用于实体单元和厚壳体。在材料对话框中输入 Mooney-Rivlin 模型的材料属性。最多可以输入六个 Mooney-Rivlin 常量:Mooney_A、Mooney_B、Mooney_C、Mooney_D、Mooney_E 和 Mooney_F。

当在材料对话框中选择了使用曲线数据来计算材料常量选项时,将自动计算 Mooney-Rivin 常量。这些常量保存在算例激活结果文件夹下的一个扩展名为 .log 的文本文件中。



提供对该主题的反馈

SOLIDWORKS 欢迎您对此文档的外观、准确性及完整性提供反馈。请使用以下表格,将您对该主题的评论和建议直接发送给我们的文档团队。文档团队不能回答技术支持问题。单击此处获取有关技术支持的信息

* 必填

 
*电子邮件:  
主题:   对帮助主题的反馈
页面:   Mooney - Rivlin 超弹性模型
*评论:  
*   本人确认已阅读并且接受 Dassault Systèmes 按照《隐私政策》使用本人的个人数据

打印主题

选择要打印的内容范围:

x

我们检测到您在使用旧于 Internet Explorer 7 的浏览器版本。为优化显示,我们建议您将您的浏览器升级到 Internet Explorer 7 或以上。

 永不再显示此信息
x

Web 帮助内容版本:SOLIDWORKS 2013 SP05

要从 SOLIDWORKS 中禁用 Web 帮助并使用本地帮助,请单击帮助 > 使用 SOLIDWORKS Web 帮助

要报告在 Web 帮助界面和搜索中所遇到的问题,请联系您的当地支持代表。要提供单个帮助主题的反馈,请使用单个主题页面上的“对该主题的反馈”链接。