Expand EinführungEinführung
Expand VerwaltungVerwaltung
Expand BenutzeroberflächeBenutzeroberfläche
Expand Grundlagen von SolidWorksGrundlagen von SolidWorks
Expand Umsteigen von 2D auf 3DUmsteigen von 2D auf 3D
Expand BaugruppenBaugruppen
Expand CircuitWorksCircuitWorks
Expand KonfigurationenKonfigurationen
Expand SolidWorks CostingSolidWorks Costing
Expand Design CheckerDesign Checker
Expand Konstruktionsstudien in SolidWorksKonstruktionsstudien in SolidWorks
Expand Detaillierung und ZeichnungenDetaillierung und Zeichnungen
Expand DFMXpressDFMXpress
Expand DriveWorksXpressDriveWorksXpress
Expand FloXpressFloXpress
Expand Importieren und ExportierenImportieren und Exportieren
Expand ModellanzeigeModellanzeige
Expand GussformkonstruktionGussformkonstruktion
Expand BewegungsstudienBewegungsstudien
Expand Teile und FeaturesTeile und Features
Expand LeitungsführungLeitungsführung
Expand BlechBlech
Collapse SimulationSimulation
Expand SimulationXpressSimulationXpress
Expand SkizzierenSkizzieren
Expand Sustainability ProdukteSustainability Produkte
Expand SolidWorks UtilitiesSolidWorks Utilities
Expand ToleranzenToleranzen
Expand TolAnalystTolAnalyst
Expand ToolboxToolbox
Expand SchweißkonstruktionenSchweißkonstruktionen
Expand Workgroup PDMWorkgroup PDM
Expand ProblembehebungProblembehebung
Glossar
Inhaltsverzeichnis ausblenden

Analyseverfahren - Harmonische Analyse

Eine harmonische Analyse bewertet eine stationäre Spitzenreaktion eines Systems auf harmonische Lasten.

Bei allen Lösungsschritten haben alle angewendeten Lasten und Basiserregungen dieselbe Frequenz. Die Magnituden werden durch die assoziierten Frequenzkurven definiert.

Nehmen wir einen harmonischen Knotenkraftvektor {P} an, definiert als:

(Gleichung 1) oder (Gleichung 2),

wobei:

Pk die Magnitude der Kraft in die Richtung des kten Freiheitsgrads ist

ω die Erregungsfrequenz ist und

γk der Phasenwinkel der Kraft ist.

Bei linearen Systemen werden die Systemgleichungen für Bewegung in n Schwingungsgleichungen abgekoppelt:

(Gleichung 3).

Ein Ersetzen des Kraftvektors {P} in (Gleichung 3) führt zu:

(Gleichung 4), wo

(Gleichung 5)

Die stationäre Lösung für (Gleichung 4) ist:

(Gleichung 6).

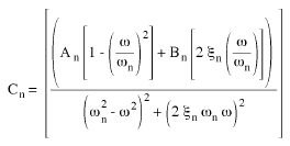
Der echte Teil von (Gleichung 6) ist:

(Gleichung 7) wo

(Gleichung 8) und

(Gleichung 9).

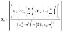
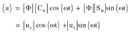
Der Verschiebungsvektor u ist gegeben durch:

(Gleichung 10) oder

(Gleichung 11)

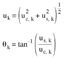
Die Magnitude der Verschiebung uk und der entsprechende Phasenwinkel θk für den kten Freiheitsgrad sind:

(Gleichung 12)

Die Geschwindigkeits- und Beschleunigungsreaktionen werden von den Derivaten von (Gleichung 11) abgeleitet. Ihre Amplituden sind:

(Gleichung 13)

Die Phasenwinkel der Geschwindigkeiten und Beschleunigungen sind 90º und 180º außerhalb der Phase hinsichtlich der Verschiebungs-Phasenwinkel.



Feedback zu diesem Thema geben

SOLIDWORKS ist dankbar für Ihr Feedback zur Präsentation, Genauigkeit und Vollständigkeit der Dokumentation. Verwenden Sie das nachstehende Formular, um Ihre Kommentare und Vorschläge zu diesem Thema direkt an unser Dokumentations-Team zu senden. Das Dokumentations-Team kann keine Fragen für den technischen Support beantworten. Klicken Sie hier für Informationen zum technischen Support.

* Erforderlich

 
*E-Mail:  
Betreff:   Feedback zu Hilfethemen
Seite:   Analyseverfahren - Harmonische Analyse
*Kommentar:  
*   Ich bestätige, dass ich die Datenschutzerklärung, unter der meine personenbezogenen Daten durch Dassault Systèmes verarbeitet werden, gelesen habe und akzeptiere.

Thema drucken

Wählen Sie aus, was gedruckt werden soll:

x

Sie verwenden einen Browser, der älter als Internet Explorer 7 ist. Für eine optimierte Anzeige sollten Sie Ihren Browser auf Internet Explorer 7 oder höher aktualisieren.

 Diese Meldung nicht mehr anzeigen
x

Web-Hilfe Inhaltsversion: SOLIDWORKS 2013 SP05

Um die Web-Hilfe in SOLIDWORKS zu deaktivieren und stattdessen die lokale Hilfe zu verwenden, klicken Sie auf Help > SOLIDWORKS Web-Hilfe verwenden.

Um Probleme mit der Oberfläche und der Suche der Web-Hilfe zu melden, wenden Sie sich an Ihren Support vor Ort. Um Feedback zu einzelnen Hilfethemen zu geben, verwenden Sie den Link “Feedback zu diesem Thema” auf der entsprechenden Themenseite.