Expand EinführungEinführung
Expand VerwaltungVerwaltung
Expand BenutzeroberflächeBenutzeroberfläche
Expand Grundlagen von SolidWorksGrundlagen von SolidWorks
Expand Umsteigen von 2D auf 3DUmsteigen von 2D auf 3D
Expand BaugruppenBaugruppen
Expand CircuitWorksCircuitWorks
Expand KonfigurationenKonfigurationen
Expand SolidWorks CostingSolidWorks Costing
Expand Design CheckerDesign Checker
Expand Konstruktionsstudien in SolidWorksKonstruktionsstudien in SolidWorks
Expand Detaillierung und ZeichnungenDetaillierung und Zeichnungen
Expand DFMXpressDFMXpress
Expand DriveWorksXpressDriveWorksXpress
Expand FloXpressFloXpress
Expand Importieren und ExportierenImportieren und Exportieren
Expand ModellanzeigeModellanzeige
Expand GussformkonstruktionGussformkonstruktion
Expand BewegungsstudienBewegungsstudien
Expand Teile und FeaturesTeile und Features
Expand LeitungsführungLeitungsführung
Expand BlechBlech
Collapse SimulationSimulation
Expand SimulationXpressSimulationXpress
Expand SkizzierenSkizzieren
Expand Sustainability ProdukteSustainability Produkte
Expand SolidWorks UtilitiesSolidWorks Utilities
Expand ToleranzenToleranzen
Expand TolAnalystTolAnalyst
Expand ToolboxToolbox
Expand SchweißkonstruktionenSchweißkonstruktionen
Expand Workgroup PDMWorkgroup PDM
Expand ProblembehebungProblembehebung
Glossar
Inhaltsverzeichnis ausblenden

Hyperelastisches Blatz-Ko-Modell

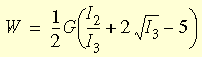
Die Blatz-Ko Spannungsenergiedichte-Funktion ist bei der Modellierung komprimierbarer Gummiarten (polyurethanschaumartig) von Nutzen und kann wie folgt ausgedrückt werden:

30.gif

wobei:
  • G = E / 2(1+ν) ist der Schubmodul unter Infinitesimalverformungen, E ist der Elastizitätsmodul, ν ist die Poissonsche Zahl
  • Ik (k = 1,..3) sind die Invarianten des Cauchy-Green-Verformungstensors C = Ik ©)
  • C = 2ε +I , ε ist der Lagrange-Dehnungstensor, und I ist die Identitätsmatrix.

Der obige Ausdruck enthält nur eine Materialkonstante G. Da ν = 0,25 für das Blatz-Ko-Modell ist, wird der Elastizitätsmodul als einzige Materialeigenschaft berücksichtigt.

31.gif

Das Blatz-Ko-Modell wird derzeit nur von Volumenkörperelementen (Entwurfsqualität und hohe Qualität) unterstützt.

Das ausgewählte Blatz-Ko-Modell ist eine vereinfachte Form der von Blatz und Ko (1962) erstellten Gleichung, die die Verformung eines stark komprimierbaren Polyurethanschaumgummis modelliert. Die Spannungsenergie wurde anhand folgender Gleichung geschätzt:

39.gif

Dabei gilt Folgendes:

40.gif

Eine spezielle Form dieser Drei-Parameter-Familie von elastischem Potenzial wurde später vorgeschlagen, in der für die Konstanten α, β und ν die folgenden Werte angenommen wurden: α = 0,5, β = 0 und ν = 0,25.



Feedback zu diesem Thema geben

SOLIDWORKS ist dankbar für Ihr Feedback zur Präsentation, Genauigkeit und Vollständigkeit der Dokumentation. Verwenden Sie das nachstehende Formular, um Ihre Kommentare und Vorschläge zu diesem Thema direkt an unser Dokumentations-Team zu senden. Das Dokumentations-Team kann keine Fragen für den technischen Support beantworten. Klicken Sie hier für Informationen zum technischen Support.

* Erforderlich

 
*E-Mail:  
Betreff:   Feedback zu Hilfethemen
Seite:   Hyperelastisches Blatz-Ko-Modell
*Kommentar:  
*   Ich bestätige, dass ich die Datenschutzerklärung, unter der meine personenbezogenen Daten durch Dassault Systèmes verarbeitet werden, gelesen habe und akzeptiere.

Thema drucken

Wählen Sie aus, was gedruckt werden soll:

x

Sie verwenden einen Browser, der älter als Internet Explorer 7 ist. Für eine optimierte Anzeige sollten Sie Ihren Browser auf Internet Explorer 7 oder höher aktualisieren.

 Diese Meldung nicht mehr anzeigen
x

Web-Hilfe Inhaltsversion: SOLIDWORKS 2013 SP05

Um die Web-Hilfe in SOLIDWORKS zu deaktivieren und stattdessen die lokale Hilfe zu verwenden, klicken Sie auf Help > SOLIDWORKS Web-Hilfe verwenden.

Um Probleme mit der Oberfläche und der Suche der Web-Hilfe zu melden, wenden Sie sich an Ihren Support vor Ort. Um Feedback zu einzelnen Hilfethemen zu geben, verwenden Sie den Link “Feedback zu diesem Thema” auf der entsprechenden Themenseite.