Expand EinführungEinführung
Expand VerwaltungVerwaltung
Expand BenutzeroberflächeBenutzeroberfläche
Expand Grundlagen von SolidWorksGrundlagen von SolidWorks
Expand Umsteigen von 2D auf 3DUmsteigen von 2D auf 3D
Expand BaugruppenBaugruppen
Expand CircuitWorksCircuitWorks
Expand KonfigurationenKonfigurationen
Expand SolidWorks CostingSolidWorks Costing
Expand Design CheckerDesign Checker
Expand Konstruktionsstudien in SolidWorksKonstruktionsstudien in SolidWorks
Expand Detaillierung und ZeichnungenDetaillierung und Zeichnungen
Expand DFMXpressDFMXpress
Expand DriveWorksXpressDriveWorksXpress
Expand FloXpressFloXpress
Expand Importieren und ExportierenImportieren und Exportieren
Expand ModellanzeigeModellanzeige
Expand GussformkonstruktionGussformkonstruktion
Expand BewegungsstudienBewegungsstudien
Expand Teile und FeaturesTeile und Features
Expand LeitungsführungLeitungsführung
Expand BlechBlech
Collapse SimulationSimulation
Expand SimulationXpressSimulationXpress
Expand SkizzierenSkizzieren
Expand Sustainability ProdukteSustainability Produkte
Expand SolidWorks UtilitiesSolidWorks Utilities
Expand ToleranzenToleranzen
Expand TolAnalystTolAnalyst
Expand ToolboxToolbox
Expand SchweißkonstruktionenSchweißkonstruktionen
Expand Workgroup PDMWorkgroup PDM
Expand ProblembehebungProblembehebung
Glossar
Inhaltsverzeichnis ausblenden

Integrationsmethoden

Für zufällige Vibrationsstudien werden die folgenden Integrationsmethoden verwendet.

Standardmethode

Bei der Standardmethode für zufällige Vibrationsanalysen wird die folgende Vorgehensweise verwendet:
  1. Um jede abgefragte Eigenschwingung werden bestimmte Frequenzpunkte ausgewählt. Die Positionen dieser Punkte hängen vom Wert des Einflussparameters "p" ab.

    Bei einem Einflussparameter gleich 1,0 sind alle Frequenzpunkte gleichförmig zwischen den Eigenfrequenzen verteilt. Bei einem Einflussparameter größer als 1,0 werden die Punkte im engeren Abstand zu den Eigenfrequenzen gewählt. Die Standardwerte für die Frequenzpunkte und den Einflussparameter werden als Funktion von ζ (Dämpfungsverhältnis der 1. Schwingung) angegeben. Eine Abbildung zur Auswahl der Frequenzpunkte finden Sie hier.

    Nachstehend sind die Standardwerte für die Frequenzpunkte und den Einflussparameter als Funktion von ζ angegeben:

    Modales Dämpfungsverhältnis Anzahl der Frequenzen (Standard) Einflussparameter (Standard)
    ζ < 0,01 21 11
    0,01 < ζ < 0,1 21-4,34 Zoll (ζ/0,01) 11-3,47 Zoll (ζ/0,01)
    ζ < 0,1 11 3

    Die Software wendet die in Tabelle 1 angegebenen Standardwerte an, wenn sowohl für die Anzahl der Frequenzpunkte als auch den Einflussparameter der Wert Null (0) definiert ist.

  2. Die modale Reaktion der spektralen Leistungsdichte wird an jedem Frequenzpunkt bewertet. Das Kreuzmodus-Grenzverhältnis (Verhältnis) fungiert als Grenzwert für das Verhältnis aller möglichen Eigenfrequenzpaare (wi / wj, i > j).

    Das bedeutet, dass bei jedem Schwingungspaar mit dem Wert wi / wj > Verhältnis die kreuzspektralen Dichtekomponenten vernachlässigt werden. Wenn das Verhältnis = 1 ist, werden die Kreuzmoduseffekte nicht berücksichtigt.

  3. Die modale Reaktion der spektralen Leistungsdichte wird dann über den angegebenen Frequenzbereich numerisch integriert, um die quadratischen Mittelwerte und Kovarianzen der modalen Reaktion zu ermitteln. Die Integration erfolgt numerisch auf Basis einer Log-Log-Interpolation mittels der Gauß-Integrationsordnung 2 oder 3 über jedes Frequenzintervall. Die quadratischen Reaktionsmittelwerte werden durch Summierung der Intervallwerte ermittelt.
  4. Schließlich ergeben sich durch die Umwandlung der Schwingungs- zu Knotenkoordinaten die quadratischen Mittelwerte von Verschiebungen, Geschwindigkeiten und Beschleunigungen des Systems.

Näherungsmethode

Die Standardintegrationsmethode kann aufgrund der numerischen Integration großer Matrizen in Bezug auf den Rechenaufwand sehr zeitintensiv sein. Für die Integration bietet die Näherungsmethode eine vereinfachte Lösung, indem sie von folgenden Annahmen ausgeht:
  • Die Kreuzmodusreaktion Sx(ω), d. h. die Auswirkung einer Schwingung auf eine andere, wird vernachlässigt. Das bedeutet Folgendes:

    (Gleichung 1)

  • Die spektrale Leistungsdichte der Erregungen wird um jede Schwingung als konstant angenommen. Daher wird ebenfalls vorausgesetzt, dass jede Schwingung durch "weißes Rauschen" mit der spektralen Dichte Sn erregt wird. Dabei gilt Folgendes:

    (Gleichung 2)

    ωn ist die Eigenfrequenz der Schwingung n (n = 1,2,...nf).

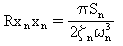
    Bei weißem Rauschen können die quadratischen Reaktionsmittelwerte analytisch für die modalen Reaktionen bestimmt werden:

    (Gleichung 3)

    (Gleichung 4)

    (Gleichung 5).



Feedback zu diesem Thema geben

SOLIDWORKS ist dankbar für Ihr Feedback zur Präsentation, Genauigkeit und Vollständigkeit der Dokumentation. Verwenden Sie das nachstehende Formular, um Ihre Kommentare und Vorschläge zu diesem Thema direkt an unser Dokumentations-Team zu senden. Das Dokumentations-Team kann keine Fragen für den technischen Support beantworten. Klicken Sie hier für Informationen zum technischen Support.

* Erforderlich

 
*E-Mail:  
Betreff:   Feedback zu Hilfethemen
Seite:   Integrationsmethoden
*Kommentar:  
*   Ich bestätige, dass ich die Datenschutzerklärung, unter der meine personenbezogenen Daten durch Dassault Systèmes verarbeitet werden, gelesen habe und akzeptiere.

Thema drucken

Wählen Sie aus, was gedruckt werden soll:

x

Sie verwenden einen Browser, der älter als Internet Explorer 7 ist. Für eine optimierte Anzeige sollten Sie Ihren Browser auf Internet Explorer 7 oder höher aktualisieren.

 Diese Meldung nicht mehr anzeigen
x

Web-Hilfe Inhaltsversion: SOLIDWORKS 2013 SP05

Um die Web-Hilfe in SOLIDWORKS zu deaktivieren und stattdessen die lokale Hilfe zu verwenden, klicken Sie auf Help > SOLIDWORKS Web-Hilfe verwenden.

Um Probleme mit der Oberfläche und der Suche der Web-Hilfe zu melden, wenden Sie sich an Ihren Support vor Ort. Um Feedback zu einzelnen Hilfethemen zu geben, verwenden Sie den Link “Feedback zu diesem Thema” auf der entsprechenden Themenseite.