Expand WprowadzenieWprowadzenie
Expand AdministracjaAdministracja
Expand Interfejs użytkownikaInterfejs użytkownika
Expand Podstawy SolidWorksPodstawy SolidWorks
Expand Przejście z 2D do 3DPrzejście z 2D do 3D
Expand ZłożeniaZłożenia
Expand CircuitWorksCircuitWorks
Expand KonfiguracjeKonfiguracje
Expand SolidWorks CostingSolidWorks Costing
Expand Design CheckerDesign Checker
Expand Badania projektu w SolidWorksBadania projektu w SolidWorks
Expand Opisywanie szczegółów i rysunkiOpisywanie szczegółów i rysunki
Expand DFMXpressDFMXpress
Expand DriveWorksXpressDriveWorksXpress
Expand FloXpressFloXpress
Expand Import i eksportImport i eksport
Expand Wyświetlanie modeluWyświetlanie modelu
Expand Projektowanie formProjektowanie form
Expand Badania ruchuBadania ruchu
Expand Części i operacjeCzęści i operacje
Expand Wyznaczanie trasyWyznaczanie trasy
Expand Arkusz blachyArkusz blachy
Collapse SimulationSimulation
Expand SimulationXpressSimulationXpress
Expand SzkicowanieSzkicowanie
Expand Produkty SustainabilityProdukty Sustainability
Expand SolidWorks UtilitiesSolidWorks Utilities
Expand TolerancjeTolerancje
Expand TolAnalystTolAnalyst
Expand ToolboxToolbox
Expand Konstrukcje spawaneKonstrukcje spawane
Expand Workgroup PDMWorkgroup PDM
Expand Rozwiązywanie problemówRozwiązywanie problemów
Glosariusz
Ukryj spis treści

Rozkład Plancka

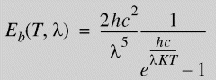
Prawo Plancka opisuje intensywność promieniowania ciała czarnego w funkcji długości fali (czyli częstotliwości).

Gdzie:

h = stała Plancka = 6,6262X10-34 dżul.sek

c = prędkość światła w próżni

λ = długość fali emitowanego promieniowania

K = stała Boltzmanna

T = temperatura bezwzględna



Wyraź swoje opinie dotyczące tego tematu

SOLIDWORKS docenia wszelkie informacje i uwagi dostarczone przez użytkownika na temat prezentacji, dokładności oraz prawidłowości dokumentacji. Proszę użyć poniższego formularza, aby wysłać komentarze I sugestie na temat tego tematu do naszego zespołu dokumentacyjnego. Zespół dokumentacyjny nie może udzielać informacji na pytania natury technicznej. Proszę kliknąć tutaj, aby uzyskać informacje dotyczące pomocy technicznej.

* Wymagane

 
*Email:  
Temat:   Opinie dotyczące tematów pomocy
Strona:   Rozkład Plancka
*Komentarz:  
*   Oświadczam, że zapoznałem/zapoznałam się z polityką prywatności, zgodnie z którą moje dane osobowe będą wykorzystywane przez firmę Dassault Systèmes, i niniejszym ją akceptuję

Wydrukuj temat

Wybierz zakres treści do druku:

x

Wykryliśmy że używasz przeglądarki w wersji starszej niż Internet Explorer 7. Dla zoptymalizowanego wyświetlania sugerujemy uaktualnienie przeglądarki do Internet Explorer 7 lub nowszej.

 Nie pokazuj tego komunikatu ponownie
x

Wersja zawartości pomocy w sieci Web: SOLIDWORKS 2013 SP05

Aby wyłączyć pomoc w sieci Web w oprogramowaniu SOLIDWORKS i użyć zamiast tego pomocy lokalnej, należy kliknąć Pomoc > Użyj pomocy SOLIDWORKS w sieci Web.

Aby zgłosić problemy związane z interfejsem lub funkcją wyszukiwania pomocy w sieci Web, należy skontaktować się z lokalnym przedstawicielem pomocy technicznej. Aby wyrazić opinie dotyczące poszczególnych tematów pomocy, należy użyć łącza “Opinie dotyczące tego tematu” na stronie danego tematu.