Expand IntroduçãoIntrodução
Expand AdministraçãoAdministração
Expand Interface do usuárioInterface do usuário
Expand Fundamentos do SolidWorksFundamentos do SolidWorks
Expand Mudando de 2D para 3DMudando de 2D para 3D
Expand MontagensMontagens
Expand CircuitWorksCircuitWorks
Expand ConfiguraçõesConfigurações
Expand SolidWorks CostingSolidWorks Costing
Expand Design CheckerDesign Checker
Expand Estudos de Projeto no SolidWorksEstudos de Projeto no SolidWorks
Expand Detalhamento e desenhosDetalhamento e desenhos
Expand DFMXpressDFMXpress
Expand DriveWorksXpressDriveWorksXpress
Expand FloXpressFloXpress
Expand Importar e exportarImportar e exportar
Expand Exibição de modeloExibição de modelo
Expand Projeto de moldesProjeto de moldes
Expand Estudos de movimentoEstudos de movimento
Expand Peças e recursosPeças e recursos
Expand RotaRota
Expand Chapa metálicaChapa metálica
Collapse SimulaçãoSimulação
Bem-vindo à Ajuda do SolidWorks Simulation
Acessar e usar a Ajuda
Avisos legais
Referência do SolidWorks Simulation
Expand Fundamentos do SolidWorks SimulationFundamentos do SolidWorks Simulation
Collapse Informações básicas sobre análisesInformações básicas sobre análises
Expand Opções do SimulationOpções do Simulation
PropertyManager de Estudo
Expand Estudos do SimulationEstudos do Simulation
Expand Estudos de submodelagemEstudos de submodelagem
Expand Estudos de ProjetoEstudos de Projeto
Expand Estudo de Simplificação 2DEstudo de Simplificação 2D
Expand Cascas compostasCascas compostas
Expand Cargas e restriçõesCargas e restrições
Expand Informações básicas sobre geração de malhasInformações básicas sobre geração de malhas
Expand Geração de malhas com contatoGeração de malhas com contato
Expand Simulation MaterialsSimulation Materials
Expand ParâmetrosParâmetros
Expand Recursos da Biblioteca de AnáliseRecursos da Biblioteca de Análise
Expand Exibir os resultados da análiseExibir os resultados da análise
Expand Relatórios de estudosRelatórios de estudos
Expand Verificação de Fator de segurançaVerificação de Fator de segurança
Expand SimulationXpressSimulationXpress
Expand Geração de esboçoGeração de esboço
Expand Produtos SustainabilityProdutos Sustainability
Expand SolidWorks UtilitiesSolidWorks Utilities
Expand TolerânciasTolerâncias
Expand TolAnalystTolAnalyst
Expand ToolboxToolbox
Expand SoldagensSoldagens
Expand Workgroup PDMWorkgroup PDM
Expand Solução de problemasSolução de problemas
Glossário
Ocultar Sumário

Métodos de integração

Os seguintes métodos de integração são usados em estudos de vibração aleatória:

Método padrão

O método padrão para análise de vibração aleatória é realizado da seguinte maneira:
  1. Determinados pontos de frequência são selecionados em torno de cada modo natural solicitado. A localização desses pontos depende do valor do parâmetro de tendência p.

    O parâmetro de tendência 1,0 indica que todos os pontos de frequência estão uniformemente distribuídos entre as frequências naturais. Se o parâmetro de tendência for maior do que 1,0, os pontos estão selecionados mais próximos das frequências naturais. Os valores padrão para os pontos de frequência e o parâmetro de tendência são dados como uma função da razão de amortecimento ζ do primeiro modo. Para ver uma ilustração dos pontos de frequência, clique aqui.

    Os valores predeterminados dos pontos de frequência e do parâmetro de tendência como uma função de z são mostrados a seguir:

    Razão de amortecimento modal Número de frequências (predeterminado) Parâmetros de tendência (predeterminado)
    ζ < 0,01 21 11
    0,01 < ζ < 0,1 21-4.34 ln(z /0,01) 11-3,47 ln(ζ /0,01)
    ζ < 0,1 11 3

    O software aplica os valores padrão apresentados na Tabela 1 quando zero (0) é definido para o Número de pontos de freqüência e para o Parâmetro de tendência.

  2. PSDs modais de resposta são avaliadas em cada ponto de frequência. A razão de corte do modo cruzado (TAXA) define um limite na taxa de todos os pares de frequências naturais possíveis (wi / wj, i > j).

    Isso significa que, para cada par de modos comwi / wj > TAXA, os termos de densidade de espectro cruzado são desprezados. Os efeitos de modo cruzado não são considerados para TAXA = 1.

  3. As psds modais são então integradas numericamente no intervalo de frequência especificado para fornecer os valores médios quadráticos e as covariâncias da resposta modal. A integração é efetuada numericamente utilizando a integração de Gauss de ordem 2 ou 3 em cada intervalo de frequência, com base em uma interpolação log-log. A resposta média quadrática é obtida somando as contribuições do intervalo.
  4. Finalmente, a transformação de modal para nodal fornece deslocamentos, acelerações e velocidades rms do sistema.

Método aproximado

O método padrão de integração pode ser demorado devido à integração numérica de grandes matrizes. O método aproximado de integração obtém uma solução simplificada ao estabelecer as seguintes suposições:
  • Desprezar a resposta de modo cruzado, Sx(ω), que é o efeito de um modo sobre o outro, ou seja,

    (Equação 1)

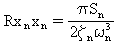
  • As psds de excitações são consideradas constantes em torno de cada modo. Assim, pressupõe-se que cada modo seja excitado por "ruído branco" com densidade espectral Sn, onde;

    (Equação 2)

    ωn é a frequência natural do modo n (n = 1,2,...nf).

    Para o ruído branco, as respostas médias quadráticas podem ser determinadas analiticamente para as respostas modais:

    (Equação 3)

    (Equação 4)

    (Equação 5).



Envie-nos seus comentários sobre este tópico

O SOLIDWORKS agradece seu feedback sobre a apresentação, precisão e nível de detalhe da documentação. Use o formulário abaixo para enviar comentários e sugestões sobre este tópico diretamente à equipe responsável pela documentação. Esta equipe não responde a perguntas de suporte técnico. Clique aqui para ver informações específicas do suporte técnico.

* Obrigatório

 
*E-mail:  
Assunto:   Comentários sobre os tópicos da Ajuda
Página:   Métodos de integração
*Comentário:  
*   Eu reconheço que li e aceito, por meio deste, a política de privacidade segundo a qual meus Dados pessoais serão usados pela Dassault Systèmes

Imprimir tópico

Selecione o escopo do conteúdo a imprimir:

x

Foi detectada uma versão de navegador anterior ao Internet Explorer 7. Para uma exibição otimizada, sugerimos a atualização para o Internet Explorer 7 ou posterior.

 Não mostrar essa mensagem novamente
x

Versão do conteúdo de ajuda on-line: SOLIDWORKS 2013 SP05

Para desativar a Ajuda online no SOLIDWORKS e usar a Ajuda local, clique em Ajuda > Usar Ajuda on-line do SOLIDWORKS.

Para relatar problemas encontrados na interface e na pesquisa da Ajuda on-line, consulte seu representante de suporte local. Para fornecer comentários sobre tópicos individuais da Ajuda, use o link “Comentários sobre este tópico” na página do tópico individual.