Expand IntroduçãoIntrodução
Expand AdministraçãoAdministração
Expand Interface do usuárioInterface do usuário
Expand Fundamentos do SolidWorksFundamentos do SolidWorks
Expand Mudando de 2D para 3DMudando de 2D para 3D
Expand MontagensMontagens
Expand CircuitWorksCircuitWorks
Expand ConfiguraçõesConfigurações
Expand SolidWorks CostingSolidWorks Costing
Expand Design CheckerDesign Checker
Expand Estudos de Projeto no SolidWorksEstudos de Projeto no SolidWorks
Expand Detalhamento e desenhosDetalhamento e desenhos
Expand DFMXpressDFMXpress
Expand DriveWorksXpressDriveWorksXpress
Expand FloXpressFloXpress
Expand Importar e exportarImportar e exportar
Expand Exibição de modeloExibição de modelo
Expand Projeto de moldesProjeto de moldes
Expand Estudos de movimentoEstudos de movimento
Expand Peças e recursosPeças e recursos
Expand RotaRota
Expand Chapa metálicaChapa metálica
Collapse SimulaçãoSimulação
Expand SimulationXpressSimulationXpress
Expand Geração de esboçoGeração de esboço
Expand Produtos SustainabilityProdutos Sustainability
Expand SolidWorks UtilitiesSolidWorks Utilities
Expand TolerânciasTolerâncias
Expand TolAnalystTolAnalyst
Expand ToolboxToolbox
Expand SoldagensSoldagens
Expand Workgroup PDMWorkgroup PDM
Expand Solução de problemasSolução de problemas
Glossário
Ocultar Sumário

Procedimento de análise - Harmônica

A análise harmônica avalia a resposta de pico em estado estável de um sistema a cargas harmônicas.

Em cada etapa de solução, todas as cargas aplicadas e excitações de base têm a mesma frequência. As magnitudes são definidas pelas curvas de frequência associadas.

Consideremos um vetor de força harmônica nodal {P} definido como:

(Equação 1) ou (Equação 2),

onde:

Pké a magnitude da força na direção do ko grau de liberdade

w é a frequência de excitação e

Yk é o ângulo de fase da força.

Para sistemas lineares, as equações de movimento do sistema são separadas em n equações modais:

(Equação 3).

Substituir o vetor de força {P} na (Equação 3) resulta em:

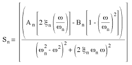
(Equação 4), onde

(Equação 5)

A solução em estado estável da (Equação 4) é:

(Equação 6).

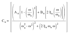
A parte real da (Equação 6) é:

(Equação 7), onde

(Equação 8) e

(Equação 9).

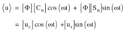
O vetor de deslocamento u é obtido por:

(Equação 10) ou

(Equação 11)

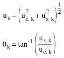
A magnitude do deslocamento uk e o ângulo de fase correspondente θk para o ko grau de liberdade são:

(Equação 12)

As respostas de velocidade e aceleração são deduzidas derivando a (Equação 11). As amplitudes são:

(Equação 13)

Os ângulos de fase de velocidades e acelerações são de 90º e 180º no que diz respeito aos ângulos de fase de deslocamento.



Envie-nos seus comentários sobre este tópico

O SOLIDWORKS agradece seu feedback sobre a apresentação, precisão e nível de detalhe da documentação. Use o formulário abaixo para enviar comentários e sugestões sobre este tópico diretamente à equipe responsável pela documentação. Esta equipe não responde a perguntas de suporte técnico. Clique aqui para ver informações específicas do suporte técnico.

* Obrigatório

 
*E-mail:  
Assunto:   Comentários sobre os tópicos da Ajuda
Página:   Procedimento de análise - Harmônica
*Comentário:  
*   Eu reconheço que li e aceito, por meio deste, a política de privacidade segundo a qual meus Dados pessoais serão usados pela Dassault Systèmes

Imprimir tópico

Selecione o escopo do conteúdo a imprimir:

x

Foi detectada uma versão de navegador anterior ao Internet Explorer 7. Para uma exibição otimizada, sugerimos a atualização para o Internet Explorer 7 ou posterior.

 Não mostrar essa mensagem novamente
x

Versão do conteúdo de ajuda on-line: SOLIDWORKS 2013 SP05

Para desativar a Ajuda online no SOLIDWORKS e usar a Ajuda local, clique em Ajuda > Usar Ajuda on-line do SOLIDWORKS.

Para relatar problemas encontrados na interface e na pesquisa da Ajuda on-line, consulte seu representante de suporte local. Para fornecer comentários sobre tópicos individuais da Ajuda, use o link “Comentários sobre este tópico” na página do tópico individual.