Expand IntroducciónIntroducción
Expand AdministraciónAdministración
Expand Interfaz de usuarioInterfaz de usuario
Expand Conceptos básicos de SolidWorksConceptos básicos de SolidWorks
Expand Migrar de 2D a 3DMigrar de 2D a 3D
Expand EnsamblajesEnsamblajes
Expand CircuitWorksCircuitWorks
Expand ConfiguracionesConfiguraciones
Expand SolidWorks CostingSolidWorks Costing
Expand Design CheckerDesign Checker
Expand Estudios de diseño en SolidWorksEstudios de diseño en SolidWorks
Expand Dibujos y documentaciónDibujos y documentación
Expand DFMXpressDFMXpress
Expand DriveWorksXpressDriveWorksXpress
Expand FloXpressFloXpress
Expand Importación y exportaciónImportación y exportación
Expand Visualización de modeloVisualización de modelo
Expand Diseño de moldesDiseño de moldes
Expand Estudios de movimientoEstudios de movimiento
Expand Piezas y operacionesPiezas y operaciones
Expand RoutingRouting
Expand Chapa metálicaChapa metálica
Collapse SolidWorks SimulationSolidWorks Simulation
Expand SimulationXpressSimulationXpress
Expand CroquizadoCroquizado
Expand SustainabilitySustainability
Expand SolidWorks UtilitiesSolidWorks Utilities
Expand ToleranciasTolerancias
Expand TolAnalystTolAnalyst
Expand ToolboxToolbox
Expand Piezas soldadasPiezas soldadas
Expand Workgroup PDMWorkgroup PDM
Expand Solución de problemasSolución de problemas
Glosario
Ocultar tabla de contenido

Amortiguamiento de Rayleigh

La matriz de amortiguamiento simétrico n x n [C] se formula como una combinación lineal de las matrices de masa [M] y rigidez [K]:

(Ecuación 1)

  • Coeficiente alfa: Establece el coeficiente proporcional a la masa α.
  • Coeficiente beta: Establece el coeficiente proporcional a la rigidez β.

El tipo de amortiguamiento descrito en (Ecuación 1) se conoce como amortiguamiento de Rayleigh o proporcional.

Esta forma de [C] es ortogonal con respecto a los autovectores del sistema.

Si aplicamos la transformación de coordenadas modal, la matriz de amortiguamiento modal [c] se convierte en diagonal:

(Ecuación 2)

Puede definir el amortiguamiento de Rayleigh para estudios dinámicos lineales y no lineales.

Relación de los coeficientes de Rayleigh y el cociente de amortiguamiento modal

La matriz de amortiguamiento modal [c] viene dada por:

(Ecuación 3)

El coeficiente de amortiguamiento viscoso ci para el modo ith se calcula así:

(Ecuación 4),

y el cociente de amortiguamiento viscoso ζi se expresa como

(Ecuación 5)

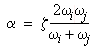
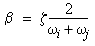
Si los cocientes de amortiguamiento para el modo ith y jth son ζi y ζj, los coeficientes de Rayleigh α y β se calculan a partir de la solución de estas dos ecuaciones algebraicas:

(Ecuación 6)

Si ambos modos tienen el mismo cociente de amortiguamiento ( ζi = ζj = ζ), los valores de α y β vienen dados por:

(Ecuación 7) (Ecuación 8)

El cociente de amortiguamiento viscoso ζ para cualquier otro modo varía con la frecuencia, como se muestra en la figura:



Proporcione comentarios sobre este tema

SOLIDWORKS agradece sus comentarios acerca del formato, la precisión y la rigurosidad de la documentación. Utilice el siguiente formulario para enviar comentarios y sugerencias sobre este tema directamente al equipo de documentación. Nota: el equipo de documentación no puede responder a preguntas técnicas. Haga clic aquí para ver información sobre soporte técnico.

* Obligatorio

 
*Correo electrónico:  
Asunto:   Comentarios sobre los temas de la ayuda
Página:   Amortiguamiento de Rayleigh
*Comentario:  
*   Por la presente confirmo que he leído y acepto la política de privacidad en virtud de la cual Dassault Systèmes usará mis Datos personales

Imprimir tema

Seleccione el ámbito del contenido que desee imprimir:

x

Hemos detectado que la versión de su explorador es anterior a Internet Explorer 7. Para una visualización óptima, le recomendamos que actualice a Internet Explorer 7 o versión superior.

 No volver a mostrar este mensaje
x

Versión del contenido de la ayuda web: SOLIDWORKS 2013 SP05

Para desactivar la ayuda web desde SOLIDWORKS y utilizar la ayuda local en su lugar, haga clic en Ayuda > Usar la ayuda web de SOLIDWORKS.

Para informar sobre problemas detectados con la interfaz y la función de búsqueda de la ayuda web, póngase en contacto con el representante local de soporte. Si desea proporcionar comentarios sobre temas individuales, utilice el vínculo “Comentarios sobre este tema” en la página del tema en cuestión.