Expand IntroducciónIntroducción
Expand AdministraciónAdministración
Expand Interfaz de usuarioInterfaz de usuario
Expand Conceptos básicos de SolidWorksConceptos básicos de SolidWorks
Expand Migrar de 2D a 3DMigrar de 2D a 3D
Expand EnsamblajesEnsamblajes
Expand CircuitWorksCircuitWorks
Expand ConfiguracionesConfiguraciones
Expand SolidWorks CostingSolidWorks Costing
Expand Design CheckerDesign Checker
Expand Estudios de diseño en SolidWorksEstudios de diseño en SolidWorks
Expand Dibujos y documentaciónDibujos y documentación
Expand DFMXpressDFMXpress
Expand DriveWorksXpressDriveWorksXpress
Expand FloXpressFloXpress
Expand Importación y exportaciónImportación y exportación
Expand Visualización de modeloVisualización de modelo
Expand Diseño de moldesDiseño de moldes
Expand Estudios de movimientoEstudios de movimiento
Expand Piezas y operacionesPiezas y operaciones
Expand RoutingRouting
Expand Chapa metálicaChapa metálica
Collapse SolidWorks SimulationSolidWorks Simulation
Expand SimulationXpressSimulationXpress
Expand CroquizadoCroquizado
Expand SustainabilitySustainability
Expand SolidWorks UtilitiesSolidWorks Utilities
Expand ToleranciasTolerancias
Expand TolAnalystTolAnalyst
Expand ToolboxToolbox
Expand Piezas soldadasPiezas soldadas
Expand Workgroup PDMWorkgroup PDM
Expand Solución de problemasSolución de problemas
Glosario
Ocultar tabla de contenido

Modelo hiperelástico de Ogden

La función de densidad de energía de deformación unitaria de Ogden, definida como:

27.gif

donde: λi es la deformación unitaria principal, αi, μi son constantes de material y N es el número de términos en la función, se considera una de las funciones más correctas para describir el intervalo de grandes deformaciones de materiales tipo caucho/goma.

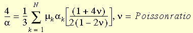
La función de penalidad utilizada en la fórmula del modelo de Ogden toma la forma de la función utilizada en el modelo de Mooney-Rivlin. La función de energía de deformación unitaria que se utiliza es, en realidad, un tipo modificado de la función de Ogden:

28.gif

donde J es el cociente del volumen deformado en relación con el volumen no deformado, N es el número de términos en la función, G(J) = J2-1 y

29.gif

Los modelos de tres términos (modelos de Ogden modificados) se utilizan con gran frecuencia. Hay modelos disponibles de hasta cuatro términos (N=4) en el programa.

Además de las constantes de material mencionadas anteriormente, también se necesita el coeficiente de Poisson. En la mayoría de los casos, pueden obtenerse resultados satisfactorios al asignar un coeficiente de Poisson de 0.49 a 0.499. Además, el aumento del coeficiente de Poisson no tendrá un efecto significativo en los resultados numéricos, a menos que exista una deformación unitaria volumétrica considerable.

Cuando el coeficiente de Poisson está muy cercano a 0,5, puede provocar la cancelación de la solución debido a los términos diagonales negativos en la matriz de rigidez o a la falta de convergencia.

Las propiedades de material para el modelo de Ogden se introducen en el cuadro de diálogo Material. Las cantidades requeridas son:
  • Primero a cuarto coeficiente de energía de material (αi)
  • Primera a cuarta constante de material (μi) (según el número de constantes).
  • Coeficiente de Poisson


Proporcione comentarios sobre este tema

SOLIDWORKS agradece sus comentarios acerca del formato, la precisión y la rigurosidad de la documentación. Utilice el siguiente formulario para enviar comentarios y sugerencias sobre este tema directamente al equipo de documentación. Nota: el equipo de documentación no puede responder a preguntas técnicas. Haga clic aquí para ver información sobre soporte técnico.

* Obligatorio

 
*Correo electrónico:  
Asunto:   Comentarios sobre los temas de la ayuda
Página:   Modelo hiperelástico de Ogden
*Comentario:  
*   Por la presente confirmo que he leído y acepto la política de privacidad en virtud de la cual Dassault Systèmes usará mis Datos personales

Imprimir tema

Seleccione el ámbito del contenido que desee imprimir:

x

Hemos detectado que la versión de su explorador es anterior a Internet Explorer 7. Para una visualización óptima, le recomendamos que actualice a Internet Explorer 7 o versión superior.

 No volver a mostrar este mensaje
x

Versión del contenido de la ayuda web: SOLIDWORKS 2013 SP05

Para desactivar la ayuda web desde SOLIDWORKS y utilizar la ayuda local en su lugar, haga clic en Ayuda > Usar la ayuda web de SOLIDWORKS.

Para informar sobre problemas detectados con la interfaz y la función de búsqueda de la ayuda web, póngase en contacto con el representante local de soporte. Si desea proporcionar comentarios sobre temas individuales, utilice el vínculo “Comentarios sobre este tema” en la página del tema en cuestión.