La siguiente tabla resume los criterios de fallos utilizados para evaluar la seguridad de los diseños.
Criterio |
Factor de seguridad |
Tipo de material |
Máxima tensión de von Mises
|
σlimit / σvonMises |
Dúctil
|
Tensión de cortadura máxima
|
σ limit / (2 * τmax ) |
Dúctil
|
Tensión de Mohr-Coulomb
|
Si ( σ1> 0 y σ3 > 0 ) entonces ( σ1 ≥ σTensileLimit )
Si ( σ1< 0 y σ3 < 0 ) entonces ( σ3 ≥ -σCompressiveLimit )
- Si ( σ1≥ 0 y σ3 ≤ 0 ) entonces ( σ1 / σTensileLimit + σ3 / -σCompressiveLimit ≥1 )
|
Materiales frágiles con límites de tracción y compresión diferentes
|
Tensión normal máxima
|
σ limit / σ1 |
Frágil
|
Criterio de tensión máxima (compuestos)
|
 FDS = 1 / F.I.
|
Frágil
1 y 2 corresponden a las direcciones de los materiales. X y S son resistencias normales y límites cortantes del material compuesto.
|
Criterio de error de Tsai-Hill (compuestos) |
 FDS = 1 / SQRT (F.I.)
|
Frágil
|
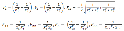
Criterio de error de Tsai-Wu (compuestos)
|


|
Frágil
|