Expand GirişGiriş
Expand YönetimYönetim
Expand Kullanıcı ArayüzüKullanıcı Arayüzü
Expand SolidWorks TemelleriSolidWorks Temelleri
Expand 2B'den 3B'ye geçiş2B'den 3B'ye geçiş
Expand MontajlarMontajlar
Expand CircuitWorksCircuitWorks
Expand KonfigürasyonlarKonfigürasyonlar
Expand SolidWorks CostingSolidWorks Costing
Expand Design CheckerDesign Checker
Expand SolidWorks'te Tasarım EtütleriSolidWorks'te Tasarım Etütleri
Expand Detaylandırma ve Teknik ResimlerDetaylandırma ve Teknik Resimler
Expand DFMXpressDFMXpress
Expand DriveWorksXpressDriveWorksXpress
Expand FloXpressFloXpress
Expand Al ve VerAl ve Ver
Expand Model GörünümüModel Görünümü
Expand Kalıp TasarımıKalıp Tasarımı
Expand Hareket EtütleriHareket Etütleri
Expand Parçalar ve UnsurlarParçalar ve Unsurlar
Expand TesisatTesisat
Expand Sac LevhaSac Levha
Collapse SimülasyonSimülasyon
Expand SimulationXpressSimulationXpress
Expand ÇizmeÇizme
Expand Sustainability ÜrünleriSustainability Ürünleri
Expand SolidWorks UtilitiesSolidWorks Utilities
Expand ToleranslamakToleranslamak
Expand TolAnalystTolAnalyst
Expand ToolboxToolbox
Expand Kaynaklı MontajlarKaynaklı Montajlar
Expand Workgroup PDMWorkgroup PDM
Expand Sorun GidermeSorun Giderme
Terimler
İçindekiler'i Gizle

Methods of Integration

The following integration methods are used for random vibration studies.

Standard Method

The standard method for random vibration analysis proceeds as follows:
  1. Certain frequency points are selected around each requested natural mode. Locations of these points depend on the value of the biasing parameter p.

    For a biasing parameter of 1.0, all the frequency points are uniformly distributed between the natural frequencies. If the biasing parameter is greater than 1.0, the points are selected closer to the natural frequencies. The default values for the frequency points and the biasing parameter are given as a function of the first mode's damping ratio ζ. For an illustration on the selection of the frequency points click here.

    Default values for the frequency points and the biasing parameter as a function of ζ are given below:

    Modal Damping Ratio Number of Frequencies (Default) Biasing Parameter (Default)
    ζ < 0.01 21 11
    0.01 < ζ < 0.1 21-4.34 ln(ζ /0.01) 11-3.47 ln(ζ /0.01)
    ζ > 0.1 11 3

    The software applies the default values given in Table 1 when zero (0) is defined for both the Number of frequency points and Biasing Parameter.

  2. Modal psds of response are evaluated at each of the frequency points. The cross-mode cut-off ratio (RATIO) sets a limit on the ratio of all possible pairs of natural frequencies (wi / wj, i > j).

    This means that for each pair of modes with wi / wj > RATIO, the cross-spectral density terms are neglected. Cross-mode effects are not considered for RATIO =1.

  3. The modal psds are then numerically integrated over the specified frequency range to yield the mean squared values and covariances of the modal response. The integration is carried out numerically using Gauss integration of order 2 or 3 over each frequency interval, based on a log-log interpolation. The mean squared response is obtained by summing the interval contributions.
  4. Finally, transformation from modal to nodal yields the rms displacements, velocities, and accelerations of the system.

Approximate Method

The standard method of integration can be computationally time consuming due to the numerical integration of large matrices. The approximate method of integration performs a simplified solution by making the following assumptions:
  • Neglecting the cross-mode response, Sx(ω) , that is the effect of one mode on another, i.e.

    (Equation 1)

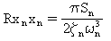
  • The psd of excitations are considered constant around each mode. Thus, each mode is assumed to be excited by "white noise" with spectral density Sn, where;

    (Equation 2)

    ωn is the natural frequency of mode n (n = 1,2,...nf).

    For white noise, the mean square responses can be determined analytically for the modal responses:

    (Equation 3)

    (Equation 4)

    (Equation 5).



Bu başlık hakkında geribildirimde bulunun

SOLIDWORKS; dokümantasyonun sunumu, doğruluğu ve bütünlüğü hakkında geribildiriminizi almaktan memnuniyet duyar. Bu başlık ile ilgili yorum ve önerilerinizi, aşağıdaki formu kullanarak doğrudan dokümantasyon takımımıza yollayın. Dokümantasyon takımı teknik destek sorularına yanıt veremez. Teknik destek ile ilgili bilgiler için buraya tıklayın.

* Gerekli

 
*Email:  
Konu:   Yardım Başlıkları Hakkında Geribildirim
Sayfa:   Methods of Integration
*Yorum:  
*   Kişisel Bilgilerimin Dassault Systèmes tarafından kullanılacağının belirtildiği gizlilik politikasını okuduğumu ve kabul ettiğimi onaylıyorum

Yazdırma Başlığı

Yazdırılacak içeriğin kapsamını seçin:

x

Internet Explorer 7'den daha eski bir tarayıcı sürümünü kullandığınızı tespit ettik. Optimize edilmiş görünüm için tarayıcınızı Internet Explorer 7 veya daha yenisine yükseltmenizi öneririz.

 Bu mesajı bir daha asla gösterme
x

Web Yardım İçerik Sürümü: SOLIDWORKS 2013 SP05

SOLIDWORKS içindeki Web yardımını devre dışı bırakmak ve onun yerine yerel yardımı kullanmak için Yardım > SOLIDWORKS Web Yardımını Kullan öğelerine tıklayın.

Web yardımı arabirimi ve araması ile ilgili karşılaştığınız sorunları lütfen yerel destek temsilcinize bildirin. Yardım başlıkları hakkında ayrı ayrı geri bildirimde bulunmak için ilgili başlığın sayfasından "Bu başlık hakkında geribildirim" bağlantısına tıklayın.