Materiały sprężyste posiadające zdolności rozpraszania energii mechanicznej dzięki zjawiskom wiskotycznym są charakteryzowane jako materiały wiskoelastyczne.
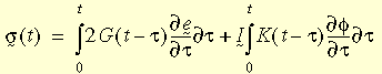
W stanach naprężeń wieloosiowych, relację konstytucyjną można zapisać jako:

gdzie: e(bar) oraz φ są odkształceniami dewiatoryjnymi i wolumetrycznymi, G(t - τ) i K(t - τ) są funkcjami relaksacji objętościowej i ścinania.
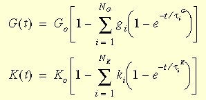
Funkcje relaksacji można następnie przedstawić w modelu mechanicznym, który zwykle określa się jako uogólniony model Maxwella o równaniach:

gdzie: G0 = E / 2 (1+ ν), początkowy współczynnik ścinania (t=0)
i K0 = E / 3 (1 - 2ν), początkowy współczynnik objętościowy (t=0)
gi, ki, τiG oraz τiK są i-tymi modułami ścinania i objętościowymi oraz odpowiednimi czasami.

Wpływ temperatury na zachowanie materiału jest uwzględniany poprzez użycie zasady zależności czasowo-temperaturowej. Postać matematyczna zasady:

gdzie γt jest czasem zredukowanym, a γ jest funkcją przesunięcia. Jako przybliżenie tej funkcji używane jest równanie WLF (Williams-Landel-Ferry):

gdzie T0 jest temperaturą odniesienia, która jest zwykle wybierana jako temperatura zeszklenia; C1 i C2 są stałymi zależnymi od materiału.
Parametr |
Właściwość materiału |
Parametry liniowe sprężyste |
Współczynnik sprężystości wzdłużnej w X |
Współczynnik Poissona w XY |
Współczynnik sprężystości poprzecznej w XY |
Parametry funkcji relaksacyjnej |
Moduł relaksacji ścinania (1 do 8) (reprezentują g1, g2, ..., g8 w równaniach uogólnionego modelu Maxwella)
|
Wartości czasu (moduł relaksacji ścinania 1 do 8) (przedstawiają τ1g, τ2g, ..., τ8g w równaniach uogólnionego modelu Maxwella) |
Moduł relaksacji sprężystości objętościowej (1 do 8) |
Wartości czasu (moduł relaksacji sprężystości objętościowej 1 do 8) (przedstawiają τ1k, τ2k, ..., τ8k w równaniach uogólnionego modelu Maxwella) |
Parametry równania WLF
|
Temperatura przejścia szklistego (reprezentuje T0 w równaniu WLF)
|
Pierwsza stała dla równania Williams-Landel-Ferry (reprezentuje C1 w równaniu WLF)
|
Druga stała dla równania Williams-Landel-Ferry (reprezentuje C2 w równaniu WLF)
|
Podczas definiowania krzywej relaksacyjnej ścinania lub objętościowej na karcie Tabele i krzywe pierwszym punktem krzywej jest moduł G1 lub K1 o czasie t1. W czasie t = 0 program automatycznie oblicza G0 lub K0 na podstawie współczynnika sprężystości wzdłużnej i współczynnika Poissona.
Wiskoelastyczny model materiału może być używany z elementami grubej skorupy lub bryłowymi jakości roboczej i wysokiej.