Expand IntroduçãoIntrodução
Expand AdministraçãoAdministração
Expand Interface do usuárioInterface do usuário
Expand Fundamentos do SolidWorksFundamentos do SolidWorks
Expand Mudando de 2D para 3DMudando de 2D para 3D
Expand MontagensMontagens
Expand CircuitWorksCircuitWorks
Expand ConfiguraçõesConfigurações
Expand SolidWorks CostingSolidWorks Costing
Expand Design CheckerDesign Checker
Expand Estudos de Projeto no SolidWorksEstudos de Projeto no SolidWorks
Expand Detalhamento e desenhosDetalhamento e desenhos
Expand DFMXpressDFMXpress
Expand DriveWorksXpressDriveWorksXpress
Expand FloXpressFloXpress
Expand Importar e exportarImportar e exportar
Expand Exibição de modeloExibição de modelo
Expand Projeto de moldesProjeto de moldes
Expand Estudos de movimentoEstudos de movimento
Expand Peças e recursosPeças e recursos
Expand RotaRota
Expand Chapa metálicaChapa metálica
Collapse SimulaçãoSimulação
Expand SimulationXpressSimulationXpress
Expand Geração de esboçoGeração de esboço
Expand Produtos Sustainability Produtos Sustainability
Expand SolidWorks UtilitiesSolidWorks Utilities
Expand TolerancingTolerancing
Expand TolAnalystTolAnalyst
Expand ToolboxToolbox
Expand SoldagensSoldagens
Expand Workgroup PDMWorkgroup PDM
Expand Solução de problemasSolução de problemas
Glossário
Ocultar Sumário

Modelo viscoelástico

Os materiais elásticos, tendo a capacidade de dissipar a energia mecânica devido aos efeitos viscosos, são caracterizados como materiais viscoelásticos.

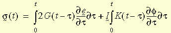
Para estados de tensão multiaxial, a relação constitutiva pode ser escrita como:

32.gif

onde: e(bar) e φ são deformações relativa e volumétrica, G(t - τ) e K(t - τ) são funções de relaxamento de cisalhamento e de relaxamento de volume.

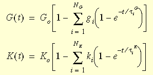
As funções de relaxamento podem ser representadas pelo modelo mecânico conhecido como Generalized Maxwell Model (modelo generalizado de Maxwell) com três expressões:

33.gif

onde: G0 = E / 2(1+ ν), módulo de cisalhamenrto inicial (t=0)

e K 0 = E / 3(1 -2 ν), módulo de volume inicial (t=0)

gi, ki, τiG, e τiK são os módulos de cisalhamento e volume e períodos correspondentes.

fig_5.gif

O efeito da temperatura no comportamento do material é introduzido mediante o princípio de correspondência entre o tempo e a temperatura. A forma matemática do princípio é:

34.gif

em que γt é o tempo reduzido e γ é a função de troca. A equação de Williams-Landel-Ferry (WLF) é utilizada para aproximação da função.

35.gif

em que T0 é a temperatura de referência escolhida geralmente como a temperatura de transição vítrea; C1 e C2 são constantes que dependem do material.

Parâmetro Propriedade do material
Parâmetros elásticos lineares Módulo elástico em X
Coeficiente de Poisson em xy
Módulo de cisalhamento em XY
Parâmetros da função relaxamento Módulo de relaxamento de cisão (1 a 8)

representam g1, g2, ...,g8 nas equações do Modelo de Maxwell Generalizado.

Valores de tempo (Módulo de relaxamento de cisão 1 a 8) (representa τ1g, τ2g,..., τ8g nas equações do modelo generalizado de Maxwell)
Módulo de relaxamento de cisão (1 a 8)
Valores de tempo (Módulo de relaxamento de cisão 1 a 8) (representa τ1g, τ2g,..., τ8g nas equações do modelo generalizado de Maxwell)
Parâmetros da equação WLF Temperatura de Transição Vítrea

representa T0 na equação WLF

Primeira constante da equação Williams-Landel-Ferry

representa C1 na equação WLF

Segunda constante da equação Williams-Landel-Ferry

representa C2 na equação WLF

Ao definir a curva de relaxamento de cisalhamento ou em massa na guia Tabelas e curvas, o primeiro ponto da curva é o módulo G1 ou K1 módulos no tempo t1. No momento t = 0, o programa calcula automaticamente G0ou K0 a partir do Módulo elástico e do Coeficiente de Poisson.

O modelo de material viscoelástico pode ser usado para elementos de casca espessa ou sólida, de qualidade alta ou de rascunho.



Envie-nos seus comentários sobre este tópico

O SOLIDWORKS agradece seu feedback sobre a apresentação, precisão e nível de detalhe da documentação. Use o formulário abaixo para enviar comentários e sugestões sobre este tópico diretamente à equipe responsável pela documentação. Esta equipe não responde a perguntas de suporte técnico. Clique aqui para ver informações específicas do suporte técnico.

* Obrigatório

 
*E-mail:  
Assunto:   Comentários sobre os tópicos da Ajuda
Página:   Modelo viscoelástico
*Comentário:  
*   Eu reconheço que li e aceito, por meio deste, a política de privacidade segundo a qual meus Dados pessoais serão usados pela Dassault Systèmes

Imprimir tópico

Selecione o escopo do conteúdo a imprimir:

x

Foi detectada uma versão de navegador anterior ao Internet Explorer 7. Para uma exibição otimizada, sugerimos a atualização para o Internet Explorer 7 ou posterior.

 Não mostrar essa mensagem novamente
x

Versão do conteúdo de ajuda on-line: SOLIDWORKS 2014 SP05

Para desativar a Ajuda online no SOLIDWORKS e usar a Ajuda local, clique em Ajuda > Usar Ajuda on-line do SOLIDWORKS.

Para relatar problemas encontrados na interface e na pesquisa da Ajuda on-line, consulte seu representante de suporte local. Para fornecer comentários sobre tópicos individuais da Ajuda, use o link “Comentários sobre este tópico” na página do tópico individual.